|
|
|
Abstract This paper addresses the creation of a nowcasting model for economic activity in Croatia. While considering the characteristics of a small, open economy incorporated in a larger economic unit, it emphasises, alongside domestic hard and soft indicators, the importance of using foreign indicators of short-term movements. By comparing factor models, including both the static method of principal components and dynamic methods of quasi-maximum likelihood and two-step estimation approaches, the paper aims to identify a model that accurately describes short-term GDP movements. The results indicate that structural factor extraction from two or three clusters of indicators combined with the simple method of principal components yields the best results. Such timely insights are crucial for decision-making at all levels, especially for fiscal policymakers in a recent entrant to the monetary union.
Keywords: nowcasting; GDP; factor extraction; timely information; decision-making; Croatia
JEL: C32, C38, C53, E37, E60
1 Introduction
Gross domestic product (GDP) serves as the predominant metric utilised for quantifying economic activity within a country and is therefore considered a crucial element in both economic policy formulation and private sector decision-making processes. Thus, given the critical role of timely information for economic agents, it is important to recognise the limitations of GDP. The aforementioned indicator is released only quarterly and undergoes a time-intensive computational process, resulting in significant publication lags. Eurostat releases the first “flash” estimates of the GDP for the EU and euro area four weeks after the end of a quarter, whereas it takes the Croatian Bureau of Statistics eight weeks to release its first flash estimates for Croatia after the quarter. Furthermore, these releases are subject to revisions due to measurement errors and short-term volatility (Visco, 2007). The resultant information deficiency could be significantly mitigated by utilizing higher-frequency data from various sources, available much earlier, to formulate sufficiently accurate information on current economic conditions. This procedure is known as nowcasting, and as a term has a longstanding history in meteorology and has recently been adopted in economics (Giannone, Reichlin and Small, 2008).
Even subsequent to accession to the Eurozone and the adoption of the common monetary policy, national central banks possess evident advantages in monitoring current economic activity. The production of robust quick estimates at the national level can improve monitoring of activities at the Eurozone level overall. Moreover, the exchange of expertise among national central banks, coupled with the development of innovative ideas, information and practices, can contribute to the interpretation of underlying growth momentum, particularly in the series of shocks beginning with COVID-19 and the consequent data-dependent monetary policy approach. Such assessments could offer valuable insights to macroprudential policy frameworks for financial cycles evaluation, thereby preventing the accumulation of credit gaps and potential systemic risks (Škrinjarić, 2023).
Despite Croatia’s substantial integration into the business cycle of the euro area countries (Arčabić, 2018) and the implementation of a countercyclical monetary policy at the eurozone level, the mitigation of potential asymmetric shocks is the task of fiscal policy as well. Consequently, it is particularly important for the fiscal authorities in a country that is a member of the monetary union to possess timely information on economic trends and their own independent nowcasting models in order to react promptly with discretionary measures. In this manner, fiscal authorities can contribute to the attainment of macroeconomic stability. They can effectively reduce social losses by preventing negative output gaps during periods of weak demand and alleviating inflationary pressures during periods of strong demand through the implementation of a targeted set of measures. In advocating for the development of proprietary fiscal policy nowcasting models, it is crucial to note the existence of an implementation lag following adverse macroeconomic events, especially in fiscal policy decisions, which are particularly vulnerable due to inherent administrative delays (Tsuruga and Wake, 2019). By generating analogous estimations at lower aggregate levels and the microeconomic level, fiscal policy is able to stimulate economic growth by adjusting work and investment incentives, augmenting total factor productivity and improving labour market efficiency.
Given the importance of incorporating dynamics in forecasting, the results obtained through nowcasting techniques can often serve as inputs for economic policymakers’ forecasts. Timely information about ongoing economic activity is significant not only for economic policymakers but also for private economic agents. Both financial and non-financial enterprises, especially large ones, tend to base their business decisions on the evaluation of current and expected economic activity. Informed by these assessments, they engage in business planning and future investments, with GDP fluctuations serving as a vital input in their forecasts. Similarly, timely information is essential for consumers as it helps shape their expectations, facilitates their decision-making on significant expenses or household investments, and reduces irrational behaviour.
Nowadays, particularly in advanced countries, technological progress and improved efficiency in data collection and compilation have led to new information, such as short-term business statistics, labour market data, and sentiment indicators, being available much earlier than hitherto. Furthermore, various computational techniques have been developed to handle datasets containing highly correlated variables of different frequencies, thereby enabling the comprehensive utilization of all available information during the forecast generation process. Given the recent dominance of dynamic factor methodology in nowcasting, this paper aims to compare principal component analysis with several dynamic factor models and assess their performance in monitoring economic activity in Croatia.
The paper is structured as follows. The second section provides a literature overview, focusing on various techniques used in nowcasting with special emphasis on dynamic factor models, which are considered one of the mainstream methods (Dauphin et al., 2022). The third section outlines the methodology of this paper employed in nowcasting, ranging from quite simple principal component analysis to dynamic factor models. The fourth section presents the number, characteristics, and scope of domestic and foreign variables used in the model. The fifth section discusses the results of different models and their relative performance on Croatian GDP data starting with the third quarter of 2008. The sixth section opens a discussion on further improvements in both modelling and fiscal response framework. The seventh section concludes this paper.
2 Literature overview
While the term “nowcasting” for flash estimates of current economic activity has gained popularity only recently, economists in academia and policy making having historically utilised high-frequency monthly data to evaluate the current state of GDP. Sargent and Sims ( 1977) pioneered the development of nowcasting models, which extracted common variation from an extensive dataset into a small set of factors (Dauphin et al., 2022). This section will offer an overview of various models utilised in nowcasting, starting with more straightforward ones, with a specific focus on principal component analysis and dynamic factor models.
A fundamental characteristic of nowcasting models is the disparity in frequency: whereas GDP is reported on a quarterly basis, an explanation of it often relies on economic indicators that are reported monthly. A relatively straightforward approach to nowcasting is represented by bridge models. The concept behind this approach is to aggregate available monthly indicators to a quarterly level, and then, through the application of a certain multiple linear regression method, establish a connection with GDP to obtain a quick estimate (Angelini et al., 2008). Nonetheless, a significant limitation of such an approach arises from the use of a large number of monthly indicators, resulting in a reduction of degrees of freedom. This could lead to overfit models, diminished parameter precision, and multicollinearity.
Consequently, as aforementioned, various factor models have become predominant in the development of nowcasting models. The essence of factor analysis in nowcasting involves grouping a diverse set of macroeconomic and financial variables on a monthly basis into factors, based on their common variation. Subsequently, a certain number of factors are aggregated at the quarterly level, followed by the estimation of a regression equation with GDP as the dependent variable. Principal component analysis is one of the most commonly employed methods in factor analysis, based on the extraction of latent factors through linear combinations of the original variables. These resultant constructs, known as principal components, provide a hierarchical explanation of variance, where the first component accounts for the largest proportion of variance within the dataset, followed by subsequent orthogonal components capturing successive proportions of variance (Abdi and Williams, 2010). Arnoštova et al. ( 2011) demonstrate that principal component models outperform others in nowcasting the Czech GDP.
Dynamic factor models help reduce the dimensionality of extensive datasets as well, but additionally model complex interdependencies between variables over time periods. These models consider dynamic changes in relationships between variables over time, enabling a better understanding of the dynamics of economic processes. Giannone, Reichlin and Small ( 2008) incorporate factors obtained through principal component analysis, then introduce dynamics using the ordinary least squares (OLS) method, and in the case of an unbalanced panel, re-estimate the factors using the Kalman filter. Furthermore, Doz, Giannone and Reichlin ( 2012), by utilizing quasi-maximum likelihood method in dynamic factor models, demonstrate the potential for efficiency improvements compared to PCA and handling missing data. The method has been shown to be suitable for structural analysis since it enables the imposition of restrictions on factor loadings. When applying factor analysis, it is essential to consider different criteria for specifying the number of factors, along with expert judgment. In the context of dynamic factor models, determining the number of lags is necessary, with the Akaike, Hannan-Quinn and Schwarz information criteria being the most commonly utilised.
Alongside traditional methods in nowcasting, mixed data sampling regressions (MIDAS) have been utilised as a direct multi-step tool for nowcasting quarterly GDP growth based on monthly indicators (Foroni and Marcellino, 2014; Schumacher, 2014). Various machine learning methods have been developed recently as well, and in the case of EU countries, it has been shown that they often perform well in the identification of turning points in the economic cycle (Dauphin et al., 2022). Besides, nowcasting models differ by some focusing on analysing the impact of the flow of information within the month on the estimation of current quarter GDP growth, thereby confirming that both the timeliness of the release and the quality are important for reducing uncertainty (Giannone, Reichlin and Small, 2008), while others conduct nowcasts at a particular time point. Giovanelli et al. ( 2020) employ an indirect approach to nowcasting individual components of GDP, thereby emphasizing the significance of business and consumer surveys, and concluding that the indirect approach yields more accurate nowcasts and forecasts than the direct approach.
The selection of an appropriate dataset is a critical stage in the development of nowcasting models. Bai and Ng ( 2008) find that increasing the number of monthly variables used to construct factors does not necessarily lead to better results. Moreover, the quality of their forecasts improves when factors are estimated using fewer but more informative predictors. Additionally, in the case of small, open economies, especially those integrated into an economic and monetary union and therefore dependent on external demand, the use of foreign variables is essential for improving forecasting performance (Rusnák, 2016).
In Croatia, the study conducted by Kunovac and Špalat ( 2014) is the only research on nowcasting GDP and is among the few on nowcasting overall. The authors employ principal component analysis along with structural factor extraction to cluster domestic, foreign, and credit indicators, thereby creating a model that they subsequently compare with a dynamic factor model (Giannone, Reichlin and Small, 2008) and a PCA model combined with the EM algorithm (Schumacher and Breitung, 2008). They conclude that the dynamic factor model (Giannone, Reichlin and Small, 2008) provides a marginally better flash estimate than the other two models during recessionary periods, while their model offers the best estimates in the pre-recession period. Furthermore, they find that clustering factors into subgroups of indicators does not enhance the accuracy of flash estimates. In addition, Kunovac and Špalat ( 2014) employ the EM algorithm for imputing missing values in their nowcasting models and arrive at the conclusion that there is a potential for additional performance gain from averaging nowcasts derived through different factor models.
The objective of this paper is to highlight the exceptional importance of nowcasting GDP for policymakers at the national fiscal level within a monetary union. To this end, the paper presents potential estimators useful for nowcasting GDP, starting with principal component analysis, followed by the successful dynamic factor model using the Kalman filter (Giannone, Reichlin and Small, 2008), as well as a completely new estimator in the Croatian nowcasting literature – the quasi-maximum likelihood method, which is an enhancement of the previous dynamic factor model. Furthermore, in the context of reducing variables to factors, the new approach involves the classification of indicators into domestic, foreign, and confidence indicators. The key is to identify the best model that policymakers in fiscal policy can utilize in the upcoming period.
3 Data
This section will elaborate on the data selection process for the nowcasting model of the GDP of the Republic of Croatia. Given the objective of this type of nowcast, which is to estimate current economic activity prior to the release of the first flash estimates of GDP, the selection of an appropriate dataset presents a critical phase in the process. A total of 21 domestic and foreign indicators of economic activity were utilised at a monthly frequency, covering the period from May 2008 to March 2024. Alongside the commonly used data on domestic industrial production, retail trade, employment, and unemployment, an additional country-specific indicator has been included: tourist overnights. This reflects the significant role of tourism activity in explaining the dynamics of GDP in Croatia. Additionally, the volume indicator of construction activity is taken into account due to its significant share in gross value added, with a one-period lag. Although the lag period can be explained by the impact on orders in other sectors of the economy, this lag was primarily considered for technical reasons. Given that the mentioned indicator is released with a delay of seven weeks, it was thought to be more beneficial to utilise its lagged dynamics for factor creation rather than excluding it from the analysis at all.
As previously mentioned, considering the exposure of a small, open economy to foreign movements, relatively early available indicators of retail trade or industrial production for major trading partners have also been considered. Soft indicators have proven helpful in identifying certain patterns in GDP data for timely assessment, and consequently, the economic sentiment indicator (ESI) has been chosen as it represents a weighted average of multiple sectors. Additionally, this indicator also captures signals from the services sector overall, whose dynamics are not encompassed in the model due to delays in release. Thus, in addition to the domestic economic sentiment indicator, an ESI for trading partners within the European Union and an ESI for the EU as a whole were selected. It is worth noting that only trading partners who are EU member states were selected for the ESI, as this indicator is not measured for nonmembers. It is important to emphasise that for this nowcast, the estimate of the Banca d’Italia €-coin – coincident indicator of the euro area economy (Visco, 2007) was used as an input. The main issue with this indicator as an input is that it provides quarterly growth rate estimates at a monthly frequency. Therefore, a moving average of the quarterly growth rate was computed and subsequently converted into a monthly rate to estimate the level (in indices) at a monthly frequency over the observed period.
Table 1Description of monthly indicators and transformations DISPLAY Table
The primary objective of these models is to estimate the quarterly growth of the seasonally and calendar-adjusted gross domestic product, from which the annual growth rate estimate is derived. Consequently, before applying the data for model construction, it is necessary to deseasonalise indicators that have not been seasonally adjusted by statistical offices. Given the non-stationarity in these time series, logarithmic and differencing transformations were conducted. The data selection relies on their availability within a 4-week period following the conclusion of a specified month. Under these circumstances, a conclusive estimation derived from the selected model could be provided 30 days after the end of a particular quarter. Additionally, should the final observation be imputed by employment of the Kalman filter, and in the absence of significant shocks, it is possible to obtain a reasonably reliable GDP estimate on the very last day of the quarter.
Figure 1Quarterly seasonally and calendar adjusted GDP of Croatia, index 2015 = 100 DISPLAY Figure
4 Methodology
This section addresses the methodological framework. As mentioned in the previous section, once the data are selected and collected, indicators need to be transformed: deseasonalizing those that require it and applying logarithmic and differencing transformations to all. The deseasonalization method used here is X-13ARIMA-SEATS. Below there is an overview of three factor models used in the paper to extract information from a broad set of high-frequency indicators as effectively as possible. A fundamental characteristic of factor analysis is parsimony, achieved by decomposing each indicator into two parts: the first part represents the common variation of the entire dataset in the form of factors, while the second part is the specific idiosyncratic component that each indicator possesses. Subsequently, for the purpose of nowcasting, these factors, which capture the co-movement of these indicators, are associated with the target variable – Gross Domestic Product. Three variants of factor models will be outlined: firstly, one of the most commonly employed approaches, principal component analysis, which is a static form method. Subsequently, two dynamic factor methodologies will be introduced: one estimated via the two-stage method (Doz, Giannone and Reichlin 2011), and the other via the quasi-maximum likelihood approach. Methods will be presented in the specified order with each subsequent method presenting a level of enhancement to the previous one, as will be explained below.
4.1 Factor methods
4.1.1 Principal component analysis
The starting point is a static method – principal component analysis (PCA), as presented in Stock and Watson ( 2011). The method is characterised by the following equation:
where Xt = ( x1z,…, xnt)' are n monthly indicators transformed to be a stationary process. With r denoting the number of common factors, the matrix Λ = ( Λij) is an n × r matrix of factor loadings, while Tf = ( f1t,… frt)' represents estimated principal components (common factors). ξt = ( ξ1t + ξnt)' is an idiosyncratic component. ( Ft) and ( ξt) are two independent stationary processes. PCA directly estimates static factors as linear combinations of indicators, without the need for specifying a model or assuming specific distributions for the disturbances. In this manner, the indicators are decomposed into two orthogonal unobserved processes – the principal component that explains the common variation in the data and the idiosyncratic component, which is driven by variable-specific shocks. Within common variation, the first principal component explains the largest proportion of variance and each subsequent component needs to be orthogonal to the first component, additionally explaining incremental proportions of variance (Abdi and Williams, 2010).
The PCA method solves the next optimization problem: | min(F1,…,FT,Λ) Vr (Λ, F), | (2) |
 | (3) |
Here Vr denotes the objective function with respect to factors and factor loadings
which are treated as unknown parameters to be estimated. The objective function
is to be minimised using the least-squares method: the differences between actual
observations and estimated observations derived from factors and factor loadings
are computed. These differences measure the extent to which the factors adequately
explain the variation in the data, thus determining the error variance which
is to be minimised. The number of factors could either be constrained to a specific
value or set by a certain extraction method.
4.1.2 Dynamic factor model: a two step estimation procedure
The next method employed in the study is the two-step estimation procedure, as presented in Giannone, Reichlin and Small ( 2008), and Doz, Giannone and Reichlin ( 2011). The first step of the procedure involves obtaining preliminary estimators of the factors and estimators of the model parameters using the PCA method, which has been shown to provide consistent estimates (Bai and Ng, 2002). This is illustrated in the preceding section by equations (1), (2), and (3). In the second step, dynamics are introduced into the model by estimating the parameters through a vector autoregression using the ordinary least squares method, thereby enhancing the principal component method: Ft = AFt-1 + But, ut ~ WN(0,Iq)
| (4) |
where A is a r × r matrix with all roots of det (Ir – Az) outside the unit circle and B is a r × q matrix of full rank q. As r represents the number of dynamic factors, ut is a q dimensional process of the shocks to the common factors. Aligning with the assumptions of VAR models, ut is a multivariate white noise process with a zero mean and a variance covariance matrix Iq. The idiosyncratic components ξt are cross-sectionally orthogonal white noise:
E(ξt, ξ't-s) = 0, s > 0
| (6) |
where Ψt is a covariance matrix that is therefore assumed to be diagonal. These idiosyncratic components ξt are as well orthogonal to the common shocks ut: | E(ξt, u't-s) = 0, for all s. | (7) |
Finally, the Kalman filter is utilised to recursively re-estimate the expected values of the common factors since the model is expressed in a state space form. This could potentially lead to efficiency improvements and it also permits the use of unbalanced panels if necessary.
4.1.3 Quasi-maximum likelihood approach
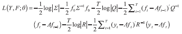
The third and the final method for factor construction in this paper utilises the quasi-maximum likelihood approach, outlined in Banbura and Modugno ( 2014). As previously mentioned, each subsequent method represents an enhancement of the previous one, making this method the most sophisticated. Specifically, the previously outlined procedure is repeated: following the estimation of factors via the principal component method as presented in equations (1), (2), and (3), the introduction of dynamics in the form of a VAR model from equation (4) and subsequent recursive re-estimation using the Kalman filter, quasi-maximum likelihood estimation is employed to refine the preceding factor estimates. Specifically, the expectation-maximization (EM) approach is employed to estimate equations (1) and (4) through quasi-maximum likelihood estimation (QMLE).
The joint log-likelihood of the observed indicators ( Y), latent factors ( F) and parameters ( θ) of the model is given by:  | (8) |
where Σ represents the covariance matrix of observed variables Y, f0 denotes the initial values of factors, Q denotes the covariance matrix of factors, and R denotes the covariance matrix of innovations in observed variables Y.
Typically, the EM algorithm consists of two steps. In the first step, known as the E-step, missing values are imputed, therefore serving a useful tool in the case of unbalanced panels, as follows: | L(θ,θ(j)) = Eθ(j) [L(Y,F;θ) | ΩT] | (9) |
where j represents a specific step or iteration, and Eθ(j) denotes the expectation with respect to the probability distribution dependent on parameters θ(j) given the available data ΩT.
In the second step, known as the M-step, the parameters are re-estimated by maximizing the expected log-likelihood with respect to θ: |  | (10) |
Ultimately, dynamic factors derived from these re-estimated parameters are the quasi-maximum likelihood approach factors.
4.2 Factor selection criteria
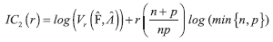
Factor selection criteria pertain to the methods or criteria used to determine the number of factors to retain in a factor analysis. These criteria aim to strike a balance between capturing enough variance in the data while avoiding overfitting or including redundant factors. Some common factor selection criteria include the Kaiser criterion (retaining factors with eigenvalues greater than 1), the Catelli scree plot method, cross-validation techniques, information criteria and parallel analysis. In this paper, the information criteria approach of Bai and Ng ( 2002) is considered and described as follows:  | (11) |
 | (12) |
 | (13) |
with the estimated factors  corresponding to principal components, the estimated loadings  corresponding to eigenvectors, n denoting the number of indicators used and p denoting the number of lags in the dynamic factor model. In this paper, factors will be derived utilizing the previously presented information criteria, as well as the proportion of explained variance from the corresponding Cattell scree plot, analysed at a monthly frequency, together with expert judgment to contribute to the shaping of different models in the subsequent section. Furthermore, in the process of selecting the number of lags in dynamic factor models, the Akaike Information Criterion (AIC), Hannan-Quinn Criterion (HQ), and Schwarz Criterion (SC) will play a pivotal role.
4.3 From estimated factors to GDP
The next step involves the transformation of r stationary estimates of factors into a nowcast of GDP growth rates. Given that the aim is to assess the quarterly growth rate of seasonally and calendar-adjusted GDP, alongside the prior construction of factors at a monthly frequency, the initial task is to convert these factors to a quarterly frequency. Since the factors are expressed as log differences, i.e., percentage changes, the aggregation can be carried out using the methodology proposed by Mariano and Murasawa ( 2003), which is specifically designed to handle the transition from monthly to quarterly frequency:  | (14) |
Therefore, the aforementioned factors are used as the independent variable in estimating the following regression equation via the OLS method:  | (15) |
In addition to the quarterly factors, the equation also includes a dummy variable Dt, which takes the following form:  | (16) |
Here, the COVID quarters are marked within the period Q1 2020 – Q2 2020, given that it was a period in which rigorous epidemiological measures were enjoined, the service sector, not adequately captured by the previously selected indicators that constitute the factors, experiencing significant disruption in economic activity.
Furthermore, following the estimation of the aforementioned regression equation, it is possible to generate nowcasts of both the annual and the quarterly growth rate of seasonally and calendar-adjusted GDP. As previously mentioned, all monthly indicators utilised in constructing quarterly factors are available 30 days after the end of each quarter, or 30 days prior to the initial estimation of quarterly GDP by the Croatian Bureau of Statistics, enabling a highly accurate forecast of the aforementioned GDP growth rates for the period t + 1. Moreover, by utilizing the Kalman filter or the EM algorithm to handle missing data, it is possible to perform this estimation with considerable accuracy even earlier, using only two out of three months of available monthly indicators for the construction of the quarterly factor. This approach may be available on the last day of a given quarter to assess GDP in that quarter, or 60 days prior to the first estimate provided by the Croatian Bureau of Statistics.
4.4 Predictive performance evaluation
In the following section, different models for nowcasting will be formulated based on the factor estimation method employed and the structure of r specific factors. Assessing the predictive performance of each model is pivotal in determining the optimal framework for promptly evaluating the state of economic activity in Croatia. These models may demonstrate varying performances depending on a range of elements, including country-specific dynamics, levels of aggregation, different time periods, and the impacts of specific economic shocks. Consequently, it is crucial to identify an appropriate loss function to assess the deviations between projected and actual GDP data for a given quarter. In this paper, the predictive performance of the models will be evaluated out-of-sample using the root mean squared error (RMSE) measure. This choice is motivated by its robust penalization of relatively large forecasting errors compared to smaller deviations:  | (17) |
Dauphin et al. ( 2022) utilise the RMSE, taking its inverse for each model as a weight to generate an estimation that is the weighted average of multiple models. The sample period from Q4 2008 to Q4 2013 serves exclusively as the training dataset. Subsequently, by incrementally incorporating new monthly data and re-estimating the model, nowcasts are generated for the period beginning in Q1 2014. As mentioned, models may exhibit different performance during stable periods compared to periods of rapid economic downturn or recovery. Therefore, when comparing models based on RMSE, it is taken into account how the models performed before the COVID-19 pandemic, up to Q4 2019, and after the recovery phase, from Q1 2023 onwards. The period from Q1 2020 to Q4 2022 is excluded from the comparison due to the significant exogenous shock and the quick recovery from it.
5 Empirical results
5.1 Demonstration of models
In this section, a comparative analysis of various models is undertaken, together with their efficiency in generating accurate nowcasts of GDP for the Republic of Croatia. The section is structured into three different parts: the first part illustrates nine different models, each constructed according to the factor extraction method employed and the arrangement of variables. The second part involves a comparative analysis of the performance of these models against each other and relative to a benchmark. The final part provides a detailed exposition on the construction of the finally selected model. As previously specified, the models are classified into three categories according to the factor extraction methods utilised. These categories are assigned as follows: Model A, which relates to static factors derived by using the principal component method; Model B, which relates to dynamic factors derived by using the two-stage method; and Model C, which refers to dynamic factors derived by using the quasi-maximum likelihood method. This classification is presented in a table where each row corresponds to a distinct method employed for factor estimation. Additionally, the final models differ in the manner in which N indicators are aggregated into r factors.
In the first case, represented by Model 1, a naive method is employed wherein all indicators are joined, and factors are extracted from the entire dataset utilised for nowcasting. Thus, the first column in the ensuing table represents these “naive” extracted factors. The second and third case incorporate an element of expert judgment, resulting in “structurally” extracted factors. This approach is employed in nowcasting models and typically results in improved model performance (Dauphin et al., 2022). Here, the comprehensive dataset is divided into multiple clusters, each producing its own factor(s) informed by the characteristics of a small, open economy. These clusters are divided into specific datasets of interest, from which structurally extracted factors are estimated, following the approach of Kunovac and Špalat ( 2014). In contrast to methods involving the simultaneous estimation of factors with constraints on factor loadings, this approach compromises factor orthogonality. In Model 2, represented by the second column of the table, factor extraction is based separately on domestic variables and foreign variables of interest. Models in group 3, represented by the third column of the table, further segment the dataset in such a way that, in addition to domestic and foreign variables, a cluster is created that encompasses “soft variables”, i.e., combined domestic and foreign confidence indicators.
Table 2Model demonstration and description DISPLAY Table
As previously outlined, indicators including the period from May 2008 to March 2024 were considered, encompassing 21 monthly indicators, both domestic and foreign, as well as both “hard” and “soft” indicators crucial for nowcasting quarterly GDP growth rates from the fourth quarter of 2008 to the first quarter of 2024. In assessing the predictive power of individual models, aside from reviewing RMSE measures over the entire period, the evaluation will also be partitioned into the pre-COVID period, up to Q4 2019, and the post-COVID period, from Q1 2023 onwards. As previously explained, the period of the COVID-19 pandemic is regarded as a period of significantly disrupted economic activity, particularly in the services sector. Accordingly, dummy variables for Q1 and Q2 of 2020 are incorporated in specific models, as needed.
A question that may arise is whether different rules should apply in nowcasting, i.e., whether separate models should be used for the first part of the subset (Q4 2008 – Q4 2019) and the second part of the subset (Q1 2023 onwards). This matter emerges with the increasing significance of EU funds in the Croatian economy, which may not be adequately captured by indicators available for nowcasts, considering these funds may have an asymmetric impact on certain components of the economy. Nonetheless, here it is assumed that the contribution of EU funds to the Croatian economy is visible through the indicator of construction activity and final consumption, represented by the retail trade turnover indicator, and spills over to other indicators. However, further considerations regarding the sectoral neutrality of EU funds and the impact of this phenomenon on nowcasting for a small, open economy remain for future research.
On April 22, 2024, the Croatian Bureau of Statistics published a revision of the gross domestic product, incorporating revisions to product subsidies, tax revenue, and government expenditure, to align with national accounts data (Pejković et al., 2024). As a result, the analysis employs these revised data.
5.2 Evaluating nowcast model accuracy
In table 3, the results of the assessment of the models utilised were evaluated under the assumption that all monthly indicators for the quarter being forecasted are known for all three months. Additionally, the nowcast for the GDP growth rate for the first quarter of 2024 is presented. The RMSE indicator, which assesses the performance of each individual model, is compared to the RMSE of the benchmark model, which is based on a random walk. Additionally, the analysis includes an AR(1) model, an ARIMA (1,1,1) model, Domestic Only model based on a domestic principal component, and a bridge model based on a straightforward two-variable setup using industry and retail data for comparative purposes.
It is evident that all models outperform the benchmark model of random drift in all subsamples. Furthermore, models of group 1, defined by naive factor extraction, unsurprisingly yield the poorest results overall. Moreover, in the subsample Q1 2014 – Q4 2019 the performance of dynamic variants of group 1 models is equal to or worse than that of the simple ARIMA (1,1,1) model. Models in groups 2 and 3 are significantly more successful in explaining the dynamics of GDP, confirming the importance of clustering indicators into domestic and foreign categories in the case of a small, open economy like Croatia. When analysing the performance of models based on structural factor extraction, group 2 models generally show slightly better performance than models of the group 3, which are one step more structured. This confirms that at one point, there is a certain trade-off between the structure and simplicity of the model. The key result is that in the case of Croatia, within each of these three groups of models, principal component models, which are the simplest, outperform others. This precision of PC models may be a result of capturing signals from the dynamics of previous periods, which can be damaging in the case of more unstable dynamics of the indicators themselves.
Table 3Evaluating Nowcast Model Accuracy: RMSE with Q1 2024 projection DISPLAY Table
Therefore, in the subsample Q1 2014 – Q1 2019 and throughout the entire time horizon, Model 2A is the most precise, while Model 3A has a slightly better performance in the post-COVID period. While the “Industry & Retail” model exhibits relatively poor predictive performance in both the pre-COVID and post-COVID subsamples, it demonstrates significantly improved accuracy over the entire observed period, approaching the precision of the best-performing models. This might be attributed to its relatively superior performance during the COVID period. It is also noteworthy that the ARIMA (1,1,1) model performs exceptionally well in the pre-COVID period, outperforming most other models, likely due to the relatively stable economic growth observed between 2014 and 2019. However, its predictive accuracy deteriorates markedly over the entire time horizon and the post-COVID period.
The estimated nowcast given by model 2A for Q1 2024 was 1.00%, which is consistent with the annual growth rate of seasonally and calendar-adjusted GDP of 3.94%. The initial estimate of the quarterly GDP growth rate in the given quarter is 0.96%, or 3.89% annually. In this case, the nowcast based on Model 2A proved to be as precise as the initial estimate of the quarterly GDP growth rate in the fourth quarter of 2023.
Although the Principal Component (PC) method embedded in models of group A yields the best results, dynamic models of groups B and C, utilizing the Kalman filter, facilitate the generation of nowcasts even in the presence of missing values for the second or third month of a given quarter. Thus, considering Model 2B, it is possible to produce relatively accurate nowcasts even earlier, specifically on the last day of the second month of the quarter or on the last day of the quarter itself. In the case of complete data, Model 2A was employed. Figure 2 illustrates the nowcast of GDP with missing values from Q1 2023 to Q1 2024, alongside the actual data. The method demonstrates relative accuracy in cases of missing values for the third month of the quarter, with the exception of Q4 2023, where significant deviations occur.
Given that Model 3A has demonstrated a precision improvement of 4.9% over Model 2A in the period following Q1 2023, a relevant question arises as to whether structural changes have indeed occurred, as discussed in the preceding chapter. These changes may be linked to the aforementioned EU funds, the entry into the Eurozone and the Schengen Area, or certain structural changes of the economy relative to the pre-COVID period. Altogether, another key finding is that structuring in this manner is important, whether it involves clustering into domestic and foreign indicators, or into domestic, foreign, and soft indicators. However, given that only four quarters have been observed so far, additional observations are necessary to provide a more precise assessment of which model is superior and whether model averaging would lead to superior results. Consequently, a more detailed description of the structure and results of Model 2A will follow.
Figure 2Nowcasting GDP with missing values in the post-pandemic period, quarterly growth rates (%) DISPLAY Figure
5.3 The Model 2A
As previously mentioned, in Model 2A, structural factor extraction was employed by clustering indicators into domestic and foreign categories. It is noteworthy that one of the specifications in Kunovac and Špalat ( 2014) considers a similarly structured model, albeit with significantly different external indicators. From Cattell’s diagram represented in figure 2, the information criteria approach of Bai and Ng ( 2002), as well as previous testing of the model with different numbers of factors, two common components were ultimately accepted, one from the foreign and one from the domestic cluster. In figure 2, it can be observed that the first principal component explains 37.9% of the total variance from the cluster of domestic indicators, while each subsequent one explains less than 20%.
Figure 3Scree plot visualization for domestic indicators, variance explained (%) DISPLAY Figure
Similarly, from the foreign cluster, the first principal component extracted explains 41.9% of the total variance among indicators, as evident in figure 3. Each subsequent principal component, orthogonal to the first, carries even less than 10% of the explained total variance. Despite this, other model specifications with more than one factor from each cluster were tested, but proved to yield results inferior to those of the selected model. However, it should be noted that the indicators were primarily selected to describe the dynamics of GDP as well as possible. Thus, these results should have been expected and may be a consequence of subsequent orthogonal principal components being orthogonal to GDP itself, thereby introducing some noise into the model.
Figure 4Scree plot visualization for foreign indicators, variance explained (%) DISPLAY Figure
In figure 4, the factor loadings extracted from the factor structure matrix for the cluster of domestic indicators are displayed. These factor loadings illustrate the importance of each indicator, or its contribution to the common principal component, as they can be interpreted as correlation coefficients. The highest factor loading on the latent factor is attributed to the economic sentiment indicator – Croatia, precisely 0.52, confirming the usefulness of soft indicators in nowcasting economic activity. Following closely is the retail trade turnover – Croatia, with a loading of 0.45, which makes sense considering its strong explanatory power for personal consumption, a significant component of GDP. As expected, the unemployment rate is the only indicator negatively correlated with the latent factor, with a loading of -0.51.
Figure 5Factor loadings on the domestic principal component, correlation coefficients DISPLAY Figure
On the other hand, for the foreign latent factor, factor loadings visible in figure 5 are generally smaller, which makes sense given the larger number of economies and various indicators involved. Indicators such as Eurocoin, economic sentiment – Hungary, and industrial production – Bosnia and Herzegovina have proven to be practically unnecessary, as they exhibit very low factor loadings on the latent factor, with economic sentiment – Hungary surprisingly showing a negative factor loading. This confirms that the EUROCOIN indicator largely disregards short-term fluctuations in GDP. Furthermore, soft indicators for other countries used in the analysis show a strong contribution to the principal component, remaining just below 0.4. Among them, the economic sentiment indicator at the EU level stands out with a loading of 0.41. On the other hand, among the hard indicators, Austrian industrial production is the closest to the common component.
Ultimately, as previously mentioned, both the domestic and foreign principal components are directly linked to GDP, and based on this relationship, a nowcast is projected for the upcoming quarter. In the case of model 2A, the COVID dummy variable did not prove to be significant in creating the nowcast. Figure 6Factor loadings on the foreign principal component, correlation coefficients DISPLAY Figure Furthermore, table 4 displays the autocorrelation function of the residuals of model 2A along with the corresponding p-value of the Ljung-Box test. The results indicate that autocorrelation is not significant at the first 6 lags, suggesting that the residuals, except for the COVID quarters, cannot be statistically distinguished from white noise. This suggests that these two principal components, each extracted from its own cluster of monthly indicators, capture the majority of the GDP dynamics.
Table 4Autocorrelation function of the residuals – Model 2A DISPLAY Table
Figure 7 represents a comparison between the growth rate values of GDP nowcast and actual GDP growth rates during the evaluated period, from the third quarter of 2008 to the fourth quarter of 2023, along with the corresponding nowcast for the first quarter of 2024. Additionally, this graphical representation based on increased residual deviations clearly illustrates distortions in monitoring economic activity during the shocks caused by the COVID-19 virus and the subsequent recovery from the pandemic.
Figure 7Evaluating GDP nowcasts: a quarterly comparison with actuals, quarterly growth rates (%) DISPLAY Figure
From these data, it is possible to detect a satisfactory 77.5% correct direction of change throughout the observed period, as well as 80% accuracy in the direction of change after the pandemic. Supporting this model is the out-of-sample forecast for Q1 2024 as well, considering that the difference between the model-estimated 1.00% quarterly growth and the real GDP growth estimate of 0.96% is low. Thus, the GDP nowcast for the first quarter of 2024 is somewhat accurate on an annual basis, with the estimated 3.94% annual growth deviating by only 0.05 percentage points from the initial GDP estimate of 3.89% by the Croatian Bureau of Statistics.
6 Discussion
The main focus of this section is to discuss the variables used, empirical results, and further research possibilities in this field, with particular reference to fiscal policy makers. Given that one of the primary purposes of nowcasting is to provide timely information on economic activity, and considering that Eurostat and the Croatian Bureau of Statistics already have flash estimates of inflation on the last day of the month for the reference month based on 80 to 90% of the received and processed data, any future step that shortens the time required to obtain information on economic activity indicators such as retail trade, industry, or construction will be of value in the context of nowcasting, and thus in the context of better economic policy manoeuvring to minimise losses within its objective function. Furthermore, statistical offices might focus on real turnover, as is the case with retail trade, in the context of an indicator that takes precedence in release, i.e., first provides information on the industrial sector’s performance. Real industry turnover should be a better measure of value-added in industry than the volume or quantity of production, and at the moment lags by a month. The primary advantage of this indicator is that the same production volume in physical units, utilizing advanced technologies and skill-rich human capital, can yield significantly higher value-added.
In the context of selecting models for nowcasting economic activity, in certain cases, a weighted average of multiple models may produce better results than individual models, as noted by Kunovac and Špalat ( 2014). In the case of the models presented in this study, it would probably be advisable to exclude naive models of group 1 from the weighted average, as they create significant noise in the absence of any clear distinction of foreign indicators. The mentioned study constructs a model-based monthly GDP using nowcasting models, which can be useful in various kinds of research as well as for discretionary economic policy. This can also be achieved with this model using the Chow-Lin method for temporal disaggregation of data, utilizing latent principal components as independent variables. Additionally, as mentioned earlier in the study, it is possible to further investigate the impact of the dynamics of EU fund inflows on real economic activity in the context of nowcasting, particularly during the 2021-2027 period, in which they play a crucial role for dynamics of movement of GDP in Croatia. When testing the validity of the model during periods when incomplete assessment is conducted using an unbalanced panel, such as the first or second month of the quarter, model 2B has been proven to be a good substitute for model 2A, given its slightly higher RMSE but the use of the Kalman filter for handling missing values.
As previously noted, understanding the process of creating a reliable nowcast of economic activity is crucial for decision-making or revising decisions at all levels, starting from economic policy makers at all levels of government, financial and non-financial enterprises, especially larger ones. However, the greatest added value to Croatia of having its own nowcast model would be for fiscal policy at the state level, particularly in the context of smoothing business cycles for a new member of the monetary union adapting to new channels of monetary policy transmission. Furthermore, for this country, it would be very important to have a completely independent nowcast from the central banker while accompanying the pooling of knowledge and experience with certain methods. In this case, any positive or negative impulse from the nowcast estimate in relation to expectations would facilitate budget planning and make it more precise, ultimately aiming to increase general welfare in the economy. At the same time, the nowcast identifies the extent of fiscal space available to avoid the excessive deficit procedure and consequently minimise the creation of its own minor asymmetric shocks through increased risk premiums in government bond yields or generally.
7 Conclusion
In recent years, various computational techniques have evolved to exploit to the full all the information available when a nowcast is being produced. According to the comprehensive analysis presented, the development and application of models forecasting the current state of GDP in Croatia carry significant implications, particularly for the implementation of fiscal policy.
While conducting a nowcast in a small, open economy, particularly one intricately linked within a large economic unit, it is crucial to acknowledge the significance of incorporating foreign variables, such as high-frequency hard data and confidence indicators, to improve the predictive power of models. In this context, the research results highlight the effectiveness of applying structural factor extraction methods in capturing the fundamental dynamics of Croatia’s GDP movement. Importantly, simpler models, such as those utilizing principal components, often outperform more complex dynamic factor models when building nowcasting models as it is presented in this paper, thus underscoring the importance of parsimony in model selection.
In the spotlight is the discussion on the potential repercussions of timely knowledge about the movement of economic activity for decision-making, implementation, and planning within the evolving time horizon of various economic subjects. Furthermore, of particular significance is the ability to forecast GDP movements with precision, enabling fiscal policymakers to make timely and informed decisions, thereby optimizing resource allocation and reducing the adverse effects of economic fluctuations. Given Croatia’s status as a new member of the Eurozone, the importance of accurate forecasting becomes even more pronounced as it facilitates the adjustment of the business cycle by fiscal policy while the domestic economy adapts to the common monetary policy through new channels of monetary transmission. Moreover, given that the behaviour of the financial system within that framework is still being established during this period, there is a possibility of an asymmetric impact of the ECB’s monetary policy emerging relative to the eurozone in general.
Additionally, the research identifies opportunities for further investigation and refinement of models forecasting the current state, including exploring the impact of EU fund inflows on real economic activity and suggesting advanced techniques for handling missing data. By continuously enhancing the sophistication and accuracy of the forecasting methodology of two independent nowcast models alongside ongoing communication, policymakers could improve their ability to predict economic trends and proactively respond to emerging challenges.
In conclusion, the development and application of models forecasting the current state of gross domestic product in Croatia represent a critical initiative with wide-ranging results for fiscal policy and overall economic stability. Through thorough empirical analysis and methodological refinement, these models will/can serve as fundamental tools for decision-making in all sectors, ultimately contributing to the overall prosperity and welfare of the Croatian economy.
Notes
* The author would like to thank two anonymous reviewers for their valuable comments. The views and opinions expressed in this article are those of the author and do not necessarily reflect the policy or position of the Croatian National Bank.
* The author would like to thank two anonymous reviewers for their valuable comments. The views and opinions expressed in this article are those of the author and do not necessarily reflect the policy or position of the Croatian National Bank.
Disclosure statement
The author has no conflict of interest to declare.
References
Abdi, H. and Williams, L. J., 2010. Principal component analysis. WIREs Computational Statistics, 2(4), pp. 433-459 [ CrossRef]
Angelini, E. [et al.], 2008. Short-term forecasts of euro area GDP growth. ECB Working Paper, No. 949 [ CrossRef]
Arčabić, V., 2018. Usklađenost poslovnih ciklusa Republike Hrvatske sa zemljama Europske unije. Zbornik radova znanstvenog skupa: Modeli razvoja hrvatskog gospodarstva, pp. 157-176.
Ban ́bura, M. and Modugno, M., 2014. Maximum likelihood estimation of factor models on datasets with arbitrary pattern of missing data. Journal of Applied Econometrics, 29(1), pp. 133-160 [ CrossRef]
Bai, J. and Ng, S., 2002. Determining the number of factors in approximate factor models. Econometrica, 70(1), pp. 191-221 [ CrossRef]
Bai, J. and Ng, S., 2008. Forecasting economic time series using targeted predictors. Journal of Econometrics, 146(2), pp. 304-317 [ CrossRef]
Dauphin, J. F. [et al.], 2022. Nowcasting GDP - A Scalable Approach Using DFM, Machine Learning and Novel Data, Applied to European Economies. IMF Working Paper, No. 22/52 [ CrossRef]
Doz, C., Giannone, D. and Reichlin, L., 2011. A two-step estimator for large approximate dynamic factor models based on Kalman filtering. J ournal of Econometrics, 164(1), pp. 188-205 [ CrossRef]
Doz, C., Giannone, D. and Reichlin, L., 2012. A Quasi–Maximum Likelihood Approach for Large, Approximate Dynamic Factor Models. The Review of Economics and Statistics, 94(4), pp. 1014-1024 [ CrossRef]
Foroni, C. and Marcellino, M., 2014. A comparison of mixed frequency approaches for nowcasting euro area macroeconomic aggregates. International Journal of Forecasting, 30(3), pp. 554-568 [ CrossRef]
Giannone, D., Reichlin, L. and Small, D., 2008. Nowcasting: The real-time informational content of macroeconomic data. Journal of Monetary Economics, 55(4), pp. 665-676 [ CrossRef]
Giovanelli, A. [et al.], 2020. Nowcasting GDP and Its Components in a Data-rich Environment: the Merits of the Indirect Approach. CEIS Research Paper, No. 489 [ CrossRef]
Republic of Slovenia Statistical Office, 2024. Available at: https://www.stat.si/statweb/en
Rusnák, M., 2016. Nowcasting Czech GDP in real time. Economic Modelling, 54(C), pp. 26-39 [ CrossRef]
Schumacher, C. and Breitung, J., 2008. Real-time forecasting of German GDP based on a large factor model with monthly and quarterly data. International Journal of Forecasting, 24(3), pp. 386-398 [ CrossRef]
Schumacher, C., 2014. Midas and Bridge Equations. Bundesbank Discussion Paper, No. 26/2014 [ CrossRef]
Stock, J. H. and Watson, M. W., 2011. Dynamic Factor Models, Factor-Augmented Vector Autoregressions, and Structural Vector Autoregressions in Macroeconomics. Oxford Handbook on Economic Forecasting, pp. 418-443 [ CrossRef]
Škrinjarić, T., 2023. Introducing a composite indicator of cyclical systemic risk in Croatia: possibilities and limitations. Pubic Sector Economics, 47(1), pp. 1-39 [ CrossRef]
Tsuruga, T. and Wake, S., 2019. Money-Financed Fiscal Stimulus: The Effects of Implementation Lag. CAMA Working Paper, No. 12/2019 [ CrossRef]
Abdi, H. and Williams, L. J., 2010. Principal component analysis. WIREs Computational Statistics, 2(4), pp. 433-459 [ CrossRef]
Angelini, E. [et al.], 2008. Short-term forecasts of euro area GDP growth. ECB Working Paper, No. 949 [ CrossRef]
Arčabić, V., 2018. Usklađenost poslovnih ciklusa Republike Hrvatske sa zemljama Europske unije. Zbornik radova znanstvenog skupa: Modeli razvoja hrvatskog gospodarstva, pp. 157-176.
Ban ́bura, M. and Modugno, M., 2014. Maximum likelihood estimation of factor models on datasets with arbitrary pattern of missing data. Journal of Applied Econometrics, 29(1), pp. 133-160 [ CrossRef]
Bai, J. and Ng, S., 2002. Determining the number of factors in approximate factor models. Econometrica, 70(1), pp. 191-221 [ CrossRef]
Bai, J. and Ng, S., 2008. Forecasting economic time series using targeted predictors. Journal of Econometrics, 146(2), pp. 304-317 [ CrossRef]
Dauphin, J. F. [et al.], 2022. Nowcasting GDP - A Scalable Approach Using DFM, Machine Learning and Novel Data, Applied to European Economies. IMF Working Paper, No. 22/52 [ CrossRef]
Doz, C., Giannone, D. and Reichlin, L., 2011. A two-step estimator for large approximate dynamic factor models based on Kalman filtering. J ournal of Econometrics, 164(1), pp. 188-205 [ CrossRef]
Doz, C., Giannone, D. and Reichlin, L., 2012. A Quasi–Maximum Likelihood Approach for Large, Approximate Dynamic Factor Models. The Review of Economics and Statistics, 94(4), pp. 1014-1024 [ CrossRef]
Foroni, C. and Marcellino, M., 2014. A comparison of mixed frequency approaches for nowcasting euro area macroeconomic aggregates. International Journal of Forecasting, 30(3), pp. 554-568 [ CrossRef]
Giannone, D., Reichlin, L. and Small, D., 2008. Nowcasting: The real-time informational content of macroeconomic data. Journal of Monetary Economics, 55(4), pp. 665-676 [ CrossRef]
Giovanelli, A. [et al.], 2020. Nowcasting GDP and Its Components in a Data-rich Environment: the Merits of the Indirect Approach. CEIS Research Paper, No. 489 [ CrossRef]
Republic of Slovenia Statistical Office, 2024. Available at: https://www.stat.si/statweb/en
Rusnák, M., 2016. Nowcasting Czech GDP in real time. Economic Modelling, 54(C), pp. 26-39 [ CrossRef]
Schumacher, C. and Breitung, J., 2008. Real-time forecasting of German GDP based on a large factor model with monthly and quarterly data. International Journal of Forecasting, 24(3), pp. 386-398 [ CrossRef]
Schumacher, C., 2014. Midas and Bridge Equations. Bundesbank Discussion Paper, No. 26/2014 [ CrossRef]
Stock, J. H. and Watson, M. W., 2011. Dynamic Factor Models, Factor-Augmented Vector Autoregressions, and Structural Vector Autoregressions in Macroeconomics. Oxford Handbook on Economic Forecasting, pp. 418-443 [ CrossRef]
Škrinjarić, T., 2023. Introducing a composite indicator of cyclical systemic risk in Croatia: possibilities and limitations. Pubic Sector Economics, 47(1), pp. 1-39 [ CrossRef]
Tsuruga, T. and Wake, S., 2019. Money-Financed Fiscal Stimulus: The Effects of Implementation Lag. CAMA Working Paper, No. 12/2019 [ CrossRef]
|