|
|
|
Abstract This work discusses the role pay-for-performance schemes (P4Ps) have in mitigating coordination problems between two sequentially organized providers (first and second). We analyse global budgets as well as three P4Ps that differ with respect to the targeted provider (the first, the second or both). It follows that global budgets introduce coordination problems being reduced when P4Ps are brought in. With respect to coordination, P4Ps that target the first provider do better than P4Ps that target the second provider due to the first provider having sole responsibility for some coordination problems. Furthermore, the optimal P4Ps are found, not only to define optimal quality levels, but also to depend on the providers’ altruism, the providers’ productivity, their position in the production chain and spill-over effects. The collection of relevant information will thus be costly for P4Ps, and it cannot be ruled out that global budgets do better than the optimal P4Ps.
Keywords: vertical relations; inter-organizational coordination; client-regarding preferences
JEL: H44, H51, I18, J38, L33
1 Introduction
Production activities are often organized in value-generating chains with multiple providers in which production occurs sequentially. A typical example is that of manufacturers and retailers, but similar relationships are also frequent in the provision of services. For instance, in the health care industry, the social care industry, and the educational industry, various providers are active at different stages of the supply chain, and they seldom trade with each other. Concerning health care, a patient may demand assistance from primary care physicians, specialized healthcare institutions, and from rehabilitation centers. Elderly people and individuals with complex and chronic conditions need health services, nursing services (home care or institutional care), rehabilitation services and social services. For social care services, providers are typically involved in supplying economic support, housing services and vocational training. Because of provider interdependencies that might arise from both production and cost structures, coordination and integration among chain members become important for the overall performance (Gittel and Weiss, 2004).
Recent literature has shown a concern for the role new payment systems (integrated funding) may have in promoting integrated care. The Organization for Economic Cooperation and Development (OECD, 2016) classifies the new funding initiatives into the following three groups, (i) bundled payments, (ii) populationbased payments, and (iii) add-on payments. Bundled payments are payments in which a defined part of the care pathway is reimbursed by a single payment (a tariff or a package price), while population-based payments refer to a group of providers that receives a pooled fund as compensation for being responsible for the delivery of a set of services to a pre-determined population. The common factor for bundled payments and population-based payments is that provider funding streams do not stay entirely separate (McDaid and Park, 2016; Mason et al., 2015; McGuire et al., 2019). 1 Add-on payments include pay-for-coordination schemes, whereby providers are reimbursed for performing certain coordination activities, and pay-for-performance schemes (P4P), where payments are tied to absolute or relative quality performances. In this work we are concerned with analysing the role P4P schemes may play in promoting coordinated care and to identify what type of information is needed to be able to implement such contracts. 2
Our model set-up assumes that the joint outcome (improvements in client utility) is unobservable (non-contractable) and depends on the quality levels provided by two service chain members (a first and a last mover). Second, both providers have client-regarding preferences (semi-altruistic). Third, the quality-level supplied by the provider early in the chain has implications for the production costs of the subsequent provider (cost-externality). Under these assumptions, the paper considers various P4P schemes, that differ with respect to the information being available to the sponsor (observability and contractibility).
To our knowledge, this work is the first to discuss the role of P4P schemes in sequential production chains. However, our study relates to various stands of literature. First, it is inspired by the literature on non-pecuniary motivations such as public service motivation and altruism (see Francois, 2000; Francois and Vlassopoulus, 2008; Benabou and Tirole, 2003, 2006; Glazer, 2004 and Delfgaauw and Dur, 2008). In the health economics literature, works concerned primarily with quality competition in hospital markets (Brekke, Siciliani and Straume, 2011, 2017) and the optimal design of payment schemes (Ellis and McGuire, 1986, 1990; Chalkley and Malcomson, 1998; Kaarboe and Siciliani, 2011) include patient utility as part of the provider pay-off function. An important finding from this literature is that optimal quality and the optimal contracts will depend on the extent to which the provider holds altruistic preferences. Second, it relates to the multi-tasking literature, since being concerned with the challenges that arise from selective payments (Holmstrom and Milgrom, 1991; Kaarboe and Siciliani, 2011). Third, our analysis also relates to works on hidden information in sequential agencies. This literature is concerned with issues such as collusion (Baliga and Sjostrom, 1998; Macho-Stadler and Perez-Castrillo, 1993; Che, Yangguang and Zhang, 2021), transparency 3 (Cato and Ishiman, 2017; Nafziger and Schumacher, 2013 and Winter, 2010), integration versus separation 4 (Schmitz, 2005; Tamada and Tsai, 2007) and optimal sharing rules (Strausz, 1999; Winter, 2006). These works, however, consider contracts that are contingent upon joint outcomes. 5
Our analysis identifies several coordination problems (distortions) that arise in sequential production chains. For the case of global budgets, where no information about quality is available for the sponsor, we identify distortions that arise from the presence of (i) a cost externality, (ii) a strategic incentive, (iii) a marginal cost of public funds, and (iv) one or both providers being imperfectly altruistic. Furthermore, we find that the introduction of P4P schemes improves coordination, the degree of coordination varying, however, according to the information available to the sponsor. When information about the quality provided by both providers is available, the optimal P4P scheme realizes the welfare-optimal solution. Two additional P4P schemes are considered. Here the sponsor is assumed to have partial quality information from observing only the quality supplied by one of the providers. The two partial P4P schemes do not attain welfare optimality; however, both schemes do better than global budgets. Furthermore, the number of coordination problems is lower for the scheme that targets the first mover than for the scheme that targets the late mover. This conclusion follows since the first mover alone is responsible for some of the coordination problems (cost-externality and strategic effects). The derived expressions for the optimal P4P schedules make clear that all three schemes are quite information intensive since optimal contract design requires detailed information about provider productivities, funding costs, marginal production costs and the degree of altruism held by the providers. This means that the implementation of the optimal P4P schemes might be challenging in practice. Significant costs associated with the collection of information might imply that global budgets do better in welfare terms than P4P schemes.
The outline of the paper is as follows. In section 2, we present the model and the first best solution. Section 3 analyses the global budgets case where the sponsor offers each provider a separate global contract. Sections 4, 5 and 6 present three optimal P4P schemes. First, we consider a scheme that assumes that the sponsor has collected information about the quality provided by the last mover (section 4). Subsequently, we analyse a scheme in which the sponsor has collected information about the quality provided by the first mover (section 5). Finally, a scheme where the sponsor collects information about the quality provided by both providers is discussed (section 6). In section 7, we summarize and discuss our findings, while section 8 concludes.
2 The model and the first-best solution
We study a sponsor that contracts with two subordinates (providers). The two providers, provider F (first mover) and provider L (last mover), are organized into a sequential production chain that provides services to a representative client. The client, after having consumed services from provider F, receives additional services from provider L. Both providers are partly altruistic, meaning that they, to some extent, care about client welfare (agency). U = (X,Y), the client utility function, represents the joint non-contractible outcome (improvements in health and life quality), where X is the quality provided by provider L (L-quality) and Y the quality provided by provider F (F-quality). The client utility function is supposed to be strictly increasing and concave in X and Y, i.e.:
| UX > 0,UY > 0,UXX < 0,UYY < 0 and UXX UYY - (UXY )2 > 0 | (1)
|
The objective function of provider L is the sum of a share, α, of client utility, αU(X,Y), where 0 ˂ α ≤ 1, and income tL (the sponsor outlays to provider L), subtracted production (quality) costs k(X,Y). Given this, the objective function of provider L,v(X,Y), becomes: | v(X,Y) = αU(X,Y) + tL - k(X,Y) | (2) |
The production cost function k = k( X,Y), is strictly increasing and convex in X, i.e., kX ˃ 0 and kXX ˃ 0. Moreover, due to chain interdependencies, the more F-quality, the lower the cost of provider L for any L-quality level, i.e., kY ˂ 0. This assumption of a positive externality is in accordance with an extensive literature confirming that community care, primary care and rehabilitation services reduce the need for hospital services and that hospital services reduce the use of home care and long-term services (Fortney et al., 2005; Forder, 2009; Deraas et al., 2011; Turner-Stokes et al., 2016; Duarte et al., 2018; Lau et al., 2021).
The objective function of provider F, V( X, Y) is given by: | V(X,Y) = βU(X,Y) + tF-C(Y) | (3) |
where β is the weight provider F puts on client utility, where 0 ˂ β ≤ 1, tF is the financial sponsor compensation and C = C( Y) is the production costs being increasing and strictly convex in Y, i.e., CY ˃ 0 and CYY ˃ 0. 6
The welfare, W, is described by the following function: | W = U(X,Y) - (1 + λ)[C(Y)+k(X,Y)] | (4) |
where λ ˃ 0 is the marginal cost of public funds (the funding cost). From maximizing (4) with respect to each of the two qualities, we arrive at the following expressions that define the first-best quality levels ( w denotes the welfare-optimal values): | UX = (1 + λ) kX (Xw,Yw) | (5) |
| UY = (1+λ)[CY (Yw) + kY (Xw,Yw)] | (6) |
The second-order conditions, WXX ˂ 0 and [WXXWYY – (WXY)2] ˃ 0, are satisfied given
prior assumptions. From (5-6) it follows that the welfare optimal levels are determined
by the marginal client utility being equal to the marginal social production cost (the
production cost adjusted for the funding cost). Notice that for provider F, the marginal
production cost includes a positive external effect on the production costs of provider
L, i.e., the negative term kY ˂ 0. We symbolize welfare stemming from these first best
values of qualities by Ww = U(Xw,Yw) - (1+λ)[C(Yw)+k(Xw,Yw)].
3 Non-contractible qualities (the global budgets case)
Given non-contractible qualities, the sponsor is left with the option to reimburse each provider by the means of global budgets.7 In such a case, the sponsor compensates each provider by a fixed amount that is determined on the basis of expected costs (ex-ante).8 Throughout the paper it is assumed that the participation constraints of both providers are satisfied, i.e. the sponsor’s transfer to each of the providers is high enough to cover their costs; i.e. tL - k(X,Y) ≥ ⊽ and tF-C(Y) ≥ ⊽ where ⊽ = ⊽ = 0. The sequential game is as follows: first, the sponsor decides on the global budgets AF and AL (tF = AF and tL = AL), thereafter provider F sets Y, and finally provider L sets X. The model is solved by backward induction. At stage 3, based on (2), provider L must satisfy the following firstorder condition:9
Eq. (7) implicitly defines X as a function of Y and α, X = X( Y; α), being the reaction function of provider L. It follows that:  | (8) |
From (8) we observe that optimal L-quality, not surprisingly, increases with its degree of altruism. The slope of the reaction function, with regard to Y, is given by:  | (9) |
According to Bulow, Geanakopolos and Klemperer ( 1985), the qualities are strategic complements (strategic substitutes) if XY ≥ (˂) 0. Hence, for qualities being complements (substitutes) in L-costs kXY ≤ (˃) 0, and complements (substitutes) in client utility, UXY ≥ (˂) 0, describing a situation with decreasing (increasing) marginal costs in L-quality, as F-quality becomes higher, imply that the qualities are strategic complements (substitutes). 11 In the following, the qualities are defined as “overall complements” if kXY – αUXY ˂ 0, “overall substitutes” if kXY – αUXY ˃ 0 and “overall independent” if kXY – αUXY = 0. From this we can conclude that for qualities being “overall complements” the qualities are strategic complements ( XY ˃ 0), for “overall substitutes” the qualities are strategic substitutes ( XY ˂ 0), while for “overall independence” the qualities are strategic independent ( XY = 0).
Using (3), provider F at stage 2 faces the following problem: | Max V = max[βU(X,Y) - C(Y) + tF] w.r.t. Y s.t. X = X(Y;α) | (10) |
The first-order condition for this problem is:
From (11) we observe that F-quality becomes a function of the altruistic preferences of both providers; Y = Y ( β; α). 12 The expressions for the impacts from altruism on F-quality are:  | (12a) |
 | (12b) |
It follows from (12a) that a change in the degree of F-altruism has both a direct and an indirect effect on F-quality. The direct effect follows because the marginal utility from more quality increases, UY ˃ 0. The indirect effect follows because of the sequential decision-structure. Provider F, when choosing own quality, considers the responses of provider L. Given a positive (negative) response, i.e., the qualities being strategic complements (strategic substitutes), provider F will choose a higher (lower) quality level to induce provider L to increase its quality level (relatively to the case of strategic independent qualities). Unless the qualities are overall substitutes to a significant extent, it seems reasonable that the direct effect (measured by UY) dominates the indirect effect (measured by UXXY), implying that as β increases, provider F will find it advantageous to increase its quality, i.e., Yβ ˃ 0. From (12b) it follows that the weight given by provider L to client utility (a higher degree of L-altruism) has complex and indeterminate effects on F-quality. 13
The first-order conditions for the global budgets case, G, (see 7 and 11) are summarized below:
If we now compare these conditions with the welfare-optimal levels (see 5 and 6), it follows from (14) that the cost-externality is not internalized by provider F and that provider F, in the setting of own quality, pays attention to the effect own quality has on L-quality, in this way taking advantage of his chain position. For XY ˃ (˂) 0, a higher (lower) F-quality induces provider L to increase (decrease) her quality. Hence, the sequential order of moves implies that the behaviour of provider F depends on whether XY is positive or negative. In the following, the effects working via the response function of the provider L, X = X (Y, α), are termed strategic effects.
Given strategic complements, XY ˃ 0, provider F, when deciding on quality, induces provider L to raise its quality. This change in L-quality comes at no cost for provider F. Given strategic substitutes, XY ˂ 0, provider F reduces own quality to increase L-quality. By inserting (13), into the last term of (14), we get βUxXy = βlα kXXY thus the strategic effect, ceteris paribus, increases with a higher β and a lower α. Hence, the more provider F values client utility, and the less provider L does, the more significant is the strategic effect. 14
In the following, we define a coordination problem as a deviation from the welfareoptimal solution. It follows that the following conditions must be fulfilled for the two cases to coincide; λ = 0; α = β = 1, kY = 0 and XY = 0. Hence, the coordination problems that arise from the global budgets case occur because of: (i) imperfect agency, (ii) ignorance of funding costs, (iii) non-internalization of cost-externality, and (iv) the presence of strategic effects. The expressions in (13) and (14) define the optimal quality levels termed (XG, YG) while the welfare level stemming from the global budgets case is defined by WG = V(XG, YG) – (1 + λ)[C(YG) + k(XG, YG)].
4 Contractible L-quality (the L-scheme)
In this section, we study the case where F-quality is non-contractible while L-quality is contractible. Given this, the sponsor can reimburse provider L by a linear incentive scheme (absolute rewards), where p is the payment per unit of X (in the following denoted the “price”). The expenses of the sponsor to provider L are defined by tL = AL + pX where AL is the fixed budget and pX the performance rewards. Provider F, since its quality level, Y, is non-contractible, is reimbursed by a fixed budget alone (tF = AF).15 At the first stage, the sponsor decides on AF, AL and p. At stage two, provider F, for given levels of AF, AL and p, decides on Y. At stage three, provider L, for the given AF, AL, p, and Y decides on X. This game is solved by backward induction.
The maximization problem of provider L, at stage 3, now becomes:
| Max v(X,Y) = max [αU(X,Y) - k(X,Y) + pX + AL] w.r.t. X. |
|
Solving this yields the following first order condition:
It follows that optimal L-quality, defined by (15), is dependent on Y, p and α, i.e., X = ( Y, p, α) and differentiation of (15) with respect to p (the direct price-effect) yields: 16 | (16) |
As expected, a higher price, p, increases incentivized quality ( L-quality). At stage 2, provider F faces the following problem: | Max V(X,Y) = max[βU(X,Y) - C(Y) + AF] w.r.t. Y s.t. X = X(Y,p,α). |
|
The first order condition for provider F now becomes:
Equation (17) defines Y as a function of p, β and α, i.e., Y = Y ( p, β, α), and differentiation of (17) with respect to p, yields: 17,18 | (18a) |
The effect in (18a) is an indirect price-effect since it is concerned with the impact on non-incentivized quality. This effect is generally indeterminate because β[( UXXXY + UXY) Xp + UXXYp] is ambiguous. In the special case in which β → 0, it follows that Yp → 0. This finding follows because the lower the weight the F-provider gives to client utility, the lower the marginal quality returns that follow from a price change. By assuming that all the third derivatives of the utility and cost functions are zero, we get that XYp = 0, thus (18a) can be expressed as: 19 | (18b) |
Now, by inserting the expression for XY (see 9) and Xp (see 16), (18b) can be expressed as:  | (18c) |
As  the sign of Yp has the same sign as UXYkXX - UXXkXY and since kXX ˃ 0 and UXX ˂ 0, it follows that Yp is positive (negative) when the qualities are complements (substitutes) in the utility function, i.e., UXY ˃ (˂) 0 in combination with the marginal cost of L-provider increasing (decreasing) as F-quality becomes higher, i.e., kXY ˃ (˂) 0. For qualities that are substitutes in client utility, i.e., UXY ˂ 0, the first term in the parenthesis of (18c) is negative while the second term is positive or negative depending on the sign of kXY. For a positive second term that always dominates the first term, the indirect price effect becomes positive.
To define the maximization problem of the sponsor, we insert the reaction functions into the welfare function, which yields the following function: 20| W(p) = U[X(Y(p),p),Y(p)] - (1+λ)[k[X(Y(p),p),Y(p)] + C(Y(p))] | |
Maximizing ( Wp) with regard to p gives the following first-order condition: | (UX - (1+λ)kX)(Xp + XY Yp) + (UY - (1 + λ) [kY + CY))Yp = 0 | (19) |
By using (15), the optimal price for the L-scheme, pL, can be expressed as follows:  | (20) |
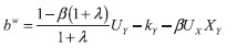
The optimal price in (20) is determined by two terms. The first term,  reflects sponsor concerns for the weight provider L attaches to client utility (where α ˂ 1 implies imperfect agency) adjusted by the funding cost, λ. The second term, φΩ, is a correction term, reflecting a trade-off between incentivized and non-incentivized quality (spill-over effect). Ω measures the ratio of the price responsiveness of the two qualities, while φ measures the relative change in welfare that follows from the same changes. For the case where non-incentivized quality is unaffected by p( Yp = 0 ⇒ Ω = 0) and for β → 0 ⇒ Yp → 0 ⇒ Ω → 0), the correction term becomes zero (or close to zero), thus suggesting that the rationale for the correction term lies with the ability of the sponsor to steer Y via the price. For Yp = 0, the sponsor is only able to steer one of the qualities, hence trade-off concerns are no longer relevant. We also observe from (20) that a negative optimal price is the outcome if the degree of L-altruism, α, is high relative to the funding cost ( λ); (1/ α <1+ λ).
By inserting (20) into the condition for incentivized quality (see 15), and by rewriting the condition for non-incentivized quality (see 17), we arrive at the following L-scheme conditions:
| βUY = CY - βUXXY = CY - β(1+λ)(kX-φΩ)XY | (22) |
The expressions in (21) and (22) define optimal L-quality and optimal F-quality, respectively termed ( XL, YL). The condition for incentivized quality (see 21) is not directly dependent on the altruistic parameters – only indirectly by the possible effects α and β might have via the correction term. The condition for non-incentivized quality (see 22), however, is directly affected by the altruistic parameter belonging to the F-provider, β. The same condition also contains a strategic effect. 21 This effect differs from that identified for the global budgets case (see 9) since the condition for L-quality differs across the two schemes. In (22), the strategic effect is independent of α but it increases with β (ignoring the fact that the qualities are functions of the altruistic parameters). The welfare stemming from the optimal L-scheme is in the following termed WL = V( XL, YL) – (1 + λ)[C( YL) + k( XL, YL)].
If we compare the optimal L-scheme (21-22), with the welfare-optimal solution (5-6), it follows that the welfare-optimal solution is not achieved because (i) the optimal condition for incentivized quality differs because of the correction term, and (ii) the optimal condition for non-incentivized quality differs because of imperfect agency (β ˂ 1), because of a non-internalized externality (kY ˂ 0) and because of the presence of a strategic effect (XY ≠ 0).
A comparison of the L-scheme (21-22) with the global budgets case (13-14) makes it clear that the optimal L-scheme changes the behaviour of provider L. First, because the optimality condition for incentivized quality becomes independent of the altruistic preferences held by provider L at the same time as the funding cost and the correction term play a role. Second, the optimality condition for nonincentivized quality now contains a strategic effect that differs from the one that is present for the global budgets case.
5 Contractible F-quality (the F-scheme)
Here we study the case where L-quality is non-contractible (non-incentivized) while F-quality is contractible. Now the sponsor can reimburse provider F by a linear scheme where b is the payment per unit of Y (in the following denoted “the bonus”). The sponsor outlays to provider F are tF = AF + bY where AF is the fixed budget and bY the performance rewards. At the first stage, the sponsor decides on AF, AL and b. At stage two, provider F, for given levels of AF, AL and b, decides on Y. At stage three, provider L, for given AF, AL, b, and Y decides on X. The game is solved by backward induction.
The maximization problem of provider L, at stage 3, is: 22| Max v(X,Y) = max [αU(X,Y) - k(X,Y) + pX + AL] w.r.t. X | |
Solving this yields the following first order condition: | αUX(X,Y) - kX(X,Y) = 0 | (23) |
It is seen that optimal L-quality, defined by (23), is dependent on Y and α, i.e., X = X( Y,α). 23
At stage 2, provider F faces the following problem: | Max V(X,Y) = max[βU(X,Y) - C(Y) + AL + bY] w.r.t. Y s.t. X = X(Y,α). | |
The first order condition becomes: | VY = βUX XY + βUY - CY + b = 0 | (24) |
Equation (24) defines Y as a function of β, α and b, i.e., Y= Y( b, β, α), and differentiation of (24) w.r.t. b yields: 24, 25 | (25a) |
From (25a) it follows that the direct bonus effect is positive. The indirect bonus effect is given by: | Xb = XYYb ≥ (<)0 as XY ≥ (<)0 | (25b) |
The indirect effect is positive when the qualities are strategic complements, zero for strategic independent qualities and negative for strategic substitutes (see the discussion in relation to 7).
To define the maximization problem of the sponsor, we insert the reaction functions into the welfare function which yields the following maximization problem:
| Max W(b) = max {U[X(Y(b)), Y(b)] – (1 + λ) [k[X(Y(b)), Y(b)]+ C(Y(b))]}w.r.t. b |
|
which yields the following first order condition: | Yb [UXXY + UY - (1+λ)(kXXY + kY + CY)] = 0 | (26) |
By using (24) in (26), the optimal bonus, bF, can be expressed as follows:  | (27) |
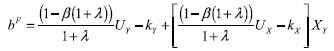
From (27) we observe that the optimal bonus is determined by three terms. The first term,  reflects sponsor concerns for the weight that provider F attaches to client utility and this concern is adjusted by the funding cost, λ. The second term, – kY, implies that the positive externality is fully internalized. The third term, XY is a correction term that reflects trade-offs between incentivized and non-incentivized quality (a spill-over effect) in the sense that a change in b induces a change in incentivized quality ( F-quality) that has implications for the optimal choice of non-incentivized quality ( L-quality).
By inserting (27) into (24), we arrive at the following first-order conditions for the F-scheme:
| UY = (1+λ)(CY + kY) - [UX - (1+λ) kX]XY | (29) |
The condition for incentivized quality (see 29) is not directly dependent on any of the altruistic parameters – only indirectly by the possible effects α and β might have via the correction term [Ux – (1 + λ(kx]Xy. The condition for non-incentivized quality (see 28), however, is directly affected by the degree of L-altruism α. Furthermore, despite strategic independence, the condition for incentivized quality contains a strategic effect confirming that the sponsor utilizes the dependencies that exist between the qualities. By using (28), the last term of (29) can be expressed as follows: 1/α [1 – α (1 + λ)]kxXy. In the case of strategic substitutes (complements), i.e., XY ˂ (˃) 0, combined with the case where α < (>)1/1 + λ, the last term becomes negative meaning that the sponsor values an increase in Y more than the marginal client utility, UY. The optimal levels of L-quality and F-quality are now termed (XF, YF). The welfare level stemming from the F-scheme is termed WF = V(XF, YF) – (1+λ) [C(YF) + k(XF, YF)].
To evaluate the impact of the optimal F-scheme we compare (28-29) with the welfare-optimal solution (5 and 6) and the global budgets case (13 and 14). The first conclusion is that the optimal F-scheme does not produce the welfare-optimal solution because the condition for incentivized quality (see 31) differs from the corresponding welfare-optimal condition (see 6) due to the presence of a correction term. Furthermore, the condition for non-incentivized quality (see 30) differs from the corresponding welfare-optimal condition (see 5) under imperfect agency (β ˂ 1) and because the funding cost is not internalized. An additional conclusion is that the introduction of the F-scheme (28-29), relatively to the global budgets case, does not change the condition for non-incentivized quality (see 13) but it changes the condition for the incentivized quality (see 14) since (i) Y becomes independent of the altruistic preferences held by provider F (β), (ii) the funding cost and the cost externality become internalized, and (iii) the strategic effect becomes different.
6 Contractible qualities (the first-best P4P scheme)
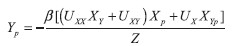
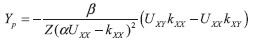
The final P4P scheme to consider is when both qualities are contractible meaning that the sponsor can reimburse both providers. Provider L is now reimbursed by a linear incentive scheme where pW is price (the payment per unit of Y) while provider F is reimbursed by a linear scheme where bW is the bonus (the payment per unit of X). By following the same procedures as in the preceding sections, we arrive at the following expressions for the two optimal unit payments:
 | (30) |
 | (31) |
The optimal P4P scheme described in (30) and (31) represents a full information case, hence the first-best solution follows per assumption. 26 We observe that both the welfare-optimal price, pW, and the welfare-optimal bonus, bW, are adjusted for client productivity, the funding cost and the degree of altruism held by the respective provider. In addition, the optimal welfare-optimal bonus (see 31) is concerned with the internalization of the cost externality as well as addressing the strategic effect.
7 Discussion and summary
In this section, we compare and discuss the findings regarding the four schemes considered. To aid our discussions, we present a table that sums up the optimality conditions and the associated optimal unit payments (see table 1). A first observation from table 1 is that the optimal condition for X is similar for the F-scheme (28) and the global budgets case (13), while the optimal condition for Y is similar for the L-scheme (22) and the global budgets case (14). We also observe that the three P4P schemes are characterized by relatively complex optimal unit payments and that both the L-scheme and F-scheme contain correction terms. For the L-scheme the correction term is part of the optimal price while for the F-scheme the correction term is part of the optimal bonus. This finding confirms that the sponsor, in both partial schemes, utilizes the dependencies that exist between the quality variables.
The ranking of the F-scheme and the first-best P4P scheme with respect to the optimal bonus is:  | (32) |
 | (33) |
From (32) and (33) it follows that for 1/1 + λ ≠ α, a bonus level set equal to the first-best bonus level will not be optimal for the F-scheme. For instance, consider the case where 1/1 + λ > α and XY ˃ 0 characterizing a situation where the degree of L-altruism is insufficient and where the qualities are strategic complements. In this case, the optimal F-scheme suggests a bonus that is higher than the first-best bonus level since F-quality must be raised to induce more L-quality.
Table 1The optimal first-order conditions and the associated optimal unit payment (prices and bonuses) under different assumptions about contractability DISPLAY Table
The relative size of the optimal L-scheme price and the first-best P4P price can be determined under some specific conditions. For  in combination with the qualities being “strong” complements, meaning that (1 + λ) kY ˂ – UX XY, it follows that YW ˃ YL which again yields the following ranking: | pL > (<) pw if YP>(<) 0 | (34) |
Eq. (34) says that the optimal L-scheme price is higher (lower) than the first-best P4P price, if a higher price increases (decreases) F-quality. This result follows since an L-scheme price set equal to the first-best P4P price becomes too low. A higher L-scheme price will now induce more (less) F-quality, resulting in an optimal L-scheme price that is higher (lower) than the first-best P4P price.
From former sections we know that the effects from the price and the bonus on incentivized quality (the direct effects XP and Yb) are strictly positive in the partial P4P schemes (see 16 and 25ab), while the indirect effects (Xb and Yp) are indeterminate, depending on the signs of the cross partial derivatives of the utility function and the cost functions (see 25ab). For the F-scheme, the sign of the indirect effect is determined by the strategic relationship between the qualities (strategic complements, strategic independent or strategic substitutes; kXY – αUXY ≤ (˃) 0. For the L-scheme, the indirect effect is more complex. In this case, for a response function that is independent of the price (XYp = 0), the sign of the indirect effect depends on UXYkXX – UXXkXY and thus we cannot rule out the indirect effect being positive for “overall” substitutes (see the discussion in relation to 7).
Important findings from the theoretical literature on optimal reimbursement for a single health care provider are that the preferred quality level and the optimal contract will depend on the degree of provider altruism (see the references in the introduction). Our multi-provider analysis shows that these conclusions are also relevant from a production chain perspective. We find that a higher degree of altruism typically increases the quality provided by last movers while the effects on the quality provided by first movers are more complex. On the one hand, more intensive client-specific preferences imply a higher outcome valuation, thus pulling in the direction of higher quality. On the other hand, the same change implies that the marginal returns from opportunistic behaviour (free-riding behaviour and the ignorance of cost externalities) become higher, thus pulling in the opposite direction. On the other hand, there is a possibility that pro-social preferences are strongly associated with internalized norms and moral values that make opportunism less likely. If this is the case, one would expect organizational cultures, characterized by strong client-regarding preferences, to abstain from free-riding behaviour and the ignorance of cost externalities.
The three P4P schemes considered are all quite information-intensive, requiring that (at least) some quality dimensions must be contractible; in addition, the determination of the optimal unit payments requires detailed information about client productivities, UX and UY, the funding cost, λ, the marginal production costs of provider F, kY, and the degree of altruism held by the providers. The informational requirements that matter for the optimal unit payments in our analysis vary to some extent across the schemes. The first-best P4P scheme presupposes information about the degree of F- and L-altruism and the response-function of provider L, XY. The optimal F-scheme, however, is less information intensive in the sense that information about L-altruism is not needed. The optimal L-scheme, however, is more information intensive than the other two P4P schemes, although they do not require information about F-altruism and XY, since they need information about CY, Yp and Xp. For UXYkXX – UXXkXY = 0, it follows that XY = Yp = 0, thus the informational requirements are reduced for all three schemes since information on XY and Yp is not needed. In addition, information about UX and kX is not needed for the optimal F-scheme while information on UY, kY, CY and kX is not needed for the optimal L-scheme.
As concerning quality-related information, significant resources have over time been invested into increases in the number of quality indicators and into improvement of their validity and reliability, thus making the introduction of P4P schemes more likely. 27 Furthermore, various methods are used to collect such information include audits (site-visits), patient surveys (patient reported outcome measures; PROMs and patient-centred outcomes (PCOs)), medical error reports and various automated reports (e.g., electronic journals). Each information source alone is typically associated with informational limitations while the combined use of several sources may improve on the situation. However, a main impression from the literature is still that the quality indicators observed do not cover all the relevant quality dimensions, they are typically chain member-specific, their importance varies across systems and providers, and they typically measure structures (equipment and technology) and processes (episodes of patient care) rather than outcomes (values). The type and number of quality indicators are typically available from case reports, 28 however, information on various types of costs is rarely available. According to Maynard ( 2012), Y-Ling and Sutton ( 2014) and Cashin et al. ( 2014), the costs reported in case studies are primarily the incentive payments (the rewards), while no attempts are made to measure the cost to providers of participating in programs or meeting initial requirements to participate (program costs and administrative costs). It seems to be self-evident that the program costs for P4P schemes are significantly higher than those for global budgets since more information is needed, which typically results in significant program – and administrative costs. However, in some healthcare systems that typically apply global budgets, quality information is sometimes systematically collected since such practices produce data that enable sponsors to evaluate and compare providers (benchmarking).
Furthermore, despite some publications stressing the importance of the new payment models, including P4P schemes, in promoting care coordination (Cashin et al., 2014; OECD, 2016), actual case reports on P4P schemes seem not to include such a perspective, meaning that there are no practical lessons on the adequate design of P4P schemes in promoting coordination. In this respect, our analysis appears to represent a first step to defining the requirements for designing optimal P4P schemes when improved coordination is a policy objective. Relative to standard schemes, much of the same type of information is needed (quality, degree of altruism and productivity), however now the situation becomes more complex since the wider perspective necessitates such information for more than one provider and since the interlinkages between chain providers and chain-position must also be included (spill-over effects). The resulting increase in informational requirements may pose a challenge, since the informational costs are rising. Hence, it becomes important to consider what types of information can be collected and what the associated costs will be. A situation characterized by incomplete information and/or significant information costs may well represent a situation where global budgets are the preferred payment scheme from a social perspective.
Our analysis finds that complete information on altruistic preferences is important. This assumption is clearly a strong one since it is difficult to fulfil in practice. However, to what extent altruistic preferences exist or not, and if so, how important they are, are issues that have been investigated in the empirical literature concerned with physician altruism and patient-regarding preferences. This literature applies behavioural data from controlled settings (experimental designs). Hennig-Schmidt, Selten and Wiesen ( 2011) finds that both patient health benefits and payments are of importance. Similar conclusions are found by Henning-Schmidt and Wiesen (2014), Kesternich, Schumacher and Winter (2015), Brosig-Koch et al. (2016, 2017). Godager and Wiesen ( 2013) and Wang et al. (2020) quantify the degree of altruism by estimating the weight attached to patient benefits. Wang et al. ( 2020) use a dataset consisting of three subject pools (Chinese medical students, German medical students and Chinese medical doctors) to estimate a measure of the relative weight of patient benefits. 29 Godager and Wiesen ( 2013) apply a dataset composed of 42 medical students and find that almost all medical students put a positive weight on the benefits to patients. The majority either attaches equal weights to profit and patient benefits (29%) or puts an even higher weight on patient benefits (44%), but there is considerable variation across the laboratory participants. 30 Evidence on variations across firms and organizations (and to what extent such preferences vary across chain members), however, is still lacking. At the individual level, altruism appears to be private information, but this is less obvious at organizational levels. Repeated interactions between sponsors and providers and the possibility of sponsors acquiring information about culture and management styles (e.g., patient satisfaction studies, evaluations and audits) suggest that some information can be collected at reasonable costs.
Our analysis shows, for a given production chain, that a varying degree of altruism across chain members and their actual position in production chains, impact the optimal contracts (“one size does not fit all”). This means that treating all chain members as being homogeneous when it comes to preferences will introduce imperfections. In some situations, however, provider differentiation with respect to reimbursement might be difficult to undertake, for example because of fairness considerations among providers (“same rule for all”). If so, the optimal welfare level will typically be unattainable, and under some assumptions the introduction of such schemes might be welfare-reducing relative to global budgets.
To simplify our analysis, each provider is assumed to control a single quality variable (overall quality). This is a strong assumption since providers typically perform several tasks of which some are measured while others are imperfectly measured or not measured at all. On the other hand, the problem of selective payments (the multi-tasking problem) for single decision-makers is already well understood from the literature (Holmström and Milgrom, 1991; Dewatripont, Jewitt and Tirole, 2000). This literature stresses the importance of paying attention to the effects contracts have on non-contractible decisions. A higher P4P price will typically improve incentivized quality but will also have indirect effects since non-incentivized decisions might be downgraded if the decisions are strategic substitutes (“teaching to test”) or upgraded if the decisions are strategic complements (“attention reinforcement”). Such indirect price effects are also present in our analysis, but they are somewhat more complex since they involve several decision-makers with different objective functions and since our set-up assumes a sequential production structure.
Below we compare the four schemes in welfare terms. We start out with the case where contract costs are not included. For this case, we know that the two partial P4P schemes (L- and F-scheme) do better in welfare terms than global budgets. To compare the two partial P4P schemes, we start out by assuming that α = β. Due to the two imperfections (cost-externality and strategic effect), it now follows that the F-scheme will be preferred from a welfare perspective since the sponsor can directly steer the provider that is responsible for the two imperfections. This implies that the degree of coordination is highest for the F-scheme in the sense that moving from a scheme that targets the last mover to a scheme that targets the first mover introduces two additional coordination problems for provider L (imperfect L-agency and funding cost) while eliminating three coordination problems being associated with provider F (imperfect F- agency, funding cost and the cost-externality). However, if the agency problem related to the F-provider is much more significant than the agency problem related to the L-provider, i.e., α deviates much more from 1/1+γ than β it might be that the L-scheme becomes the preferred scheme.
The information intensiveness of P4P schemes suggests that the costs associated with writing, enforcing and monitoring contracts (contract costs) might be significant. In the following we discuss the schemes in welfare terms when contract costs are included (see table 2). Let the contract costs for the global budgets be zero, thus net social welfare becomes equal to the gross welfare level, WG. For the two partial P4P schemes, WF and WL denote the gross welfare level for the F-scheme and the L-scheme, respectively. Furthermore, let f ˃ 0 and l ˃ 0 be the contract costs for the F-scheme and the L-scheme, respectively, thus we arrive at the following expressions for the net welfare level: WF – (1 + λ) f and WL – (1 + λ) l. This means that the introduction of the first-best P4P scheme produces contract costs that add up to f + l producing a net welfare for this scheme equal to WW – (1 + λ)( f + l). It seems reasonable to assume that WW ˃ WF ˃ WL ˃ WG. 31
Table 2Net welfare for the three P4P schemes and the global budgets case DISPLAY Table
The first-best P4P scheme becomes the preferred scheme if: - WW – WG ˃ 0 is higher than the contract costs associated with the first-best scheme, (1 + λ)(f + l).
- WW – WL ˃ 0 is higher than the contract costs associated with the F-scheme, (1 + λ)f.
- WW – WF ˃ 0 is higher than the contract costs associated with the L-scheme, (1 + λ)l.
The F-scheme (iii) becomes the preferred scheme if: - WW – WF ˃ 0 is lower than the contract costs associated with the L-scheme, (1 + λ)l.
- WF – WG ˃ 0 is higher than the contract costs associated with the F-scheme, (1 + λ)f.
- WF – WL ˃ 0 is higher than the difference in contract costs between the F-scheme and the L-scheme, (1 + λ)(f – l).
The L-scheme (ii) becomes the preferred scheme if: - WL – WG ˃ 0 is higher than the contract cost associated with the L-scheme, (1 + λ)l.
- WF – WL ˃ 0 is lower than the difference in contract costs between the F-scheme and the L-scheme, (1 + λ)(f – l).
- WW – WL ˃ 0 is lower than the contract costs associated with the F-scheme, (1 + λ)f.
The global budgets case (i) becomes the preferred scheme if: - WW – WG ˃ 0 is lower than the contract costs associated with the first-best scheme, (1 + λ)(f + l).
- WL – WG ˃ 0 is less than the contract costs associated with the L-scheme, (1 + λ)l.
- WF – WG ˃ 0 is less than the contract costs associated with the F-scheme, (1 + λ)f.
The above findings say that the global budgets case typically is the preferred scheme when both f and l are relatively high. The L-scheme is the preferred scheme when f is relatively high and l is relatively low, the F-scheme is preferred when f is relatively low and l is relatively high, while the first-best scheme is preferred scheme when both f and l are relatively low.
8 Conclusion
This study examines the role of pay-for-performance (P4P) schemes in improving coordination between sequentially organized providers. By using a model where two semi-altruistic public providers deliver services in a production chain, we demonstrate that P4P schemes targeting different actors in the production chain influence coordination outcomes differently. While traditional global budget models introduce inefficiencies due to cost externalities, strategic incentives, and imperfect agency, P4P schemes mitigate these issues to varying degrees.
We find, for the case where the quality of one of the providers is contractible, that pay-for-performance schemes will do better than global budgets when it comes to coordination. The pay-for-performance scheme that targets the quality of the last mover enables the sponsor to induce the last mover to choose a quality level that is in accordance with the social preferences (achieving perfect agency). The behaviour of the first mover, however, will still produce coordination imperfections that arise from semi-altruistic preferences, the cost-externality and strategic effects. The pay-for-performance scheme that targets the quality of the first mover enables the sponsor to induce the first mover to behave according to the social preferences because cost externality is internalised and the utilization of its own strategic position is avoided. For this pay-for-performance scheme, however, the behaviour of the last mover remains influenced by own private incentives.
Overall, the number of coordination problems that arise from the scheme targeted at the first mover is lower than the number that arises for the scheme targeting the last mover. This finding suggests that production chains characterized by the quality of the first movers being contractible should be prioritized over production chains where the quality of late movers is contractible. This conclusion becomes even more relevant if the degree of altruism held by first movers is significantly lower than the degree of altruism held by late movers. However, if the opposite is the case, it might be that P4P schemes that target late movers produce better welfare outcomes than schemes that target first movers. Finally, in situations where the implementation of pay-for-performance schemes is costly (information-intensive), simpler payment schemes that require less information, such as global budgets, might do better in welfare terms than P4P schemes.
From a policy perspective, the more information needed for the implementation of a specific pay-for performance-scheme, the greater the professional health bureaucracy required and the higher the administrative costs associated with the actual contract. Additionally, policymakers should be aware of the practical challenges in implementation of P4P. For instance, our results underscore the importance of aligning incentive structures with the specific characteristics of provider interactions. Policymakers should consider not only the theoretical efficiency of payment schemes but also their practical feasibility, given the constraints of information availability and administrative costs. Future research could explore dynamic P4P contracts that adapt to real-time performance data, as well as alternative incentive structures that balance coordination and cost-efficiency in multi-provider settings. Furthermore, future research should focus on the distributional consequences of the use of P4P schemes since such schemes, like other incentive schemes, will probably impact various patient groups differently, One, out of several possible concerns, is that providers may give a higher priority to certain patient groups (selection incentives).
Notes
* We would like to thank colleagues at University of Oslo and Nord University Business School as well as the Editor and two anonymous reviewers for their valuable comments on an earlier draft of the manuscript. However, we are responsible for any remaining shortcomings.
1 A similar typology is presented by Tsiachristas et al. ( 2013). Here bundled payments and global payments are labelled as “all-inclusive payments”.
2 For practical examples of P4P schemes (case studies) see for example Allard, Jelovac and Leger ( 2011) who
discuss altruism in relation to referral decisions, and Li ( 2018) who discusses altruism and career choices. Most theoretical studies that consider optimal incentives in the presence of altruism (patient-regarding preferences),
presuppose that such preferences are observable. An exception is Jack ( 2005) who studies incentive
mechanisms when physician altruism is private information (asymmetric information) for the third-party
payer. Jack ( 2005) shows that when physician altruism is not contractible, incentive mechanisms need to be
designed such that physicians reveal their true type.
3 This literature discusses whether the actions of leaders should be observable to followers (transparent organizations) or not (opaque organizations).
orse than the L-scheme.
4 This literature discusses whether a single agent (integration) or two different agents (separation) should be in charge of the two productive stages.
5 Some analyses consider principals that can choose between which performance measures to monitor (input monitoring or output monitoring); however, this literature is concerned with agents that are not organized sequentially (McAfee and McMillian, 1991; Khalil and Lawaree, 1995; Bag and Wang, 2019).
6 The total costs, k(X,Y) + C(Y), are consistent with economics of scope (see Baumol, Panzar and Willig, 1982; Gravelle and Rees, 2004; Lipczynski, Willson and Goddard, 2017) implying that provider-merging might be socially preferable. However, here we assume that it is desirable to keep production separate in two units. An obvious reason might be that the providers are specialized in terms of technologies, inputs and skills, in which case merging might lead to a lower quality with full integration possibly creating intra-organizational coordination problems not specified in the cost functions.
7 Health care providers have typically been compensated by fixed budgets or volume (number of patients and services), in terms fee‐for‐service, capitation and diagnosis‐based payments, rather than value (health improvements). Such observations suggest that values are costly to measure.
8 Global budget contracts are often practiced in public sector service provision. A somewhat different interpretation of the global budgets case is that the sponsor sets the budgets based on realized costs (ex-post).
9 In the following, the functional arguments are omitted whenever it creates no confusion.
10 The denominator in (8) represents the second order condition of the problem for provider L.
11 The strategic properties of the two activities depend on (i) how the client’s marginal utility from a higher service intensity (quality) provided by a provider, is affected by changes in the quality provided by the chain partner, and (ii) how the marginal production cost of the L-provider is affected by changes in the quality provided by the F-provider. The case of strategic substitutes will occur when a more continuous GP monitoring of chronic patients (in terms of blood pressure, cholesterol and alcohol consumption) better determines the adequate timing of specialized services, in this way increasing the marginal benefit from specialized services (complements in client utility) as well as decreasing the marginal cost of specialized care (substitutes in costs). The case of strategic complements occurs when more GP services reduce the marginal client utility from specialized services (substitutes in client utility) while the marginal cost of the subsequent specialist
treatment plan is either increased or unaffected by the supply of GP services (so that the qualities are complements or independent in costs).
12 VYY = β[UYY + (2UXY + UXX)XY + UX XYY] – CYY ˂ 0 is the second order condition for problem (10).
13 It follows that the effect on provider L quality from a higher degree of provider F altruism is given by dXldβ = xyYβ.
14 This reasoning does not consider that the qualities are functions of the altruistic parameters.
15 The total financial outlays of the sponsor now become T = tL + tF = AL + pX + AF.
16 The partial effects on X from Y and α are not presented here, being equal to the ones arrived at for the global budgets case (see 8 and 9).
17 Z = β(Uyy + UxXyy + 2UxyXy + UxxX2y) - Cyy < 0 in (18ab) is the second order condition for the maximization problem.
18 The partial effects on Y from α and β are not presented here since they are equal to those arrived at for the global budgets case (see 12ab).
19 It follows that , thus a sufficient condition for XYp = 0 is that all third derivatives are zero.
20 In the following, whenever it creates no confusion, we do not present the response function with α and β as arguments.
21 Given qualities that are overall independent, i.e., XY = 0, implying
22 The second order condition for this maximization problem is fulfilled from prior assumptions: αUXX – kXX ˂ 0.
23 The partial effects from Y and α are not presented since coinciding with the global budgets case (see 8 and 9).
24 Z = β(Uyy + UxXyy + 2UxyXy + UxxX2y) - Cyy < 0 is the second order condition for the maximization problem.
25 The partial effects from β and α are not presented below since they are equal to the global budgets case (see 12ab).
26 This is seen by inserting the equations in (30) and (31) in (15) and (24) respectively, giving us the conditions for the first-best qualities in (5) and (6).
27 Mur-Veeman, van Raak and Paulus ( 2008), Tsiachristas et al. ( 2013), and Stokes et al. ( 2018) describe reimbursements’ systems implemented to support integrated care. Cameron et al. ( 2014) review evidence related to joint working in the field of health and social care services, while Mason et al. ( 2015) review 38 reimbursement schemes from eight countries to understand the role that integrated funding can play in promoting coordinated care.
28 According to Eijkenaar et al. ( 2013), reviewing 12 P4P schemes in 9 different countries, the average number of quality indicators is about 30.
29 Wang et al. ( 2020) specify a Cobb-Douglas utility function with constant returns to scale of the following type: U(B, π) = Bαπ1–α where α is a measure of the relative weight of the patient benefit in the utility function. The estimates of the relative weight of the patient benefit are 0.51 (Chinese medical students), 0.42 (Chinese doctors) and 0.40 (German medical students).
30 Godager and Wiesen ( 2013) specify utility as U(B, π) = αB + γπ where B is patients’ benefits and π own profits where α and γ are positive constants indicating the valuation of patient benefits and own profit, respectively. Their estimations show a median relative degree of altruism, α/γ, equal to 1.53 (mixed logit regressions) and 2.1 (multi-nominal logit regressions). The relative degree of altruism (the marginal rate of substitution) expresses how many units of profit the physician is willing to give up increasing the patients’ health benefits by one unit.
31 As commented on above, the targeting of provider F, when information about Y is available, means that the strategic effect is eliminated, the cost-externality is internalized, and imperfect agency is corrected for. However, the choice of X by the late mover might be based on a very low degree of altruism which again produces a welfare outcome for the F-scheme that is worse than the L-scheme.
* We would like to thank colleagues at University of Oslo and Nord University Business School as well as the Editor and two anonymous reviewers for their valuable comments on an earlier draft of the manuscript. However, we are responsible for any remaining shortcomings.
1 A similar typology is presented by Tsiachristas et al. ( 2013). Here bundled payments and global payments are labelled as “all-inclusive payments”.
2 For practical examples of P4P schemes (case studies) see for example Allard, Jelovac and Leger ( 2011) who
discuss altruism in relation to referral decisions, and Li ( 2018) who discusses altruism and career choices. Most theoretical studies that consider optimal incentives in the presence of altruism (patient-regarding preferences),
presuppose that such preferences are observable. An exception is Jack ( 2005) who studies incentive
mechanisms when physician altruism is private information (asymmetric information) for the third-party
payer. Jack ( 2005) shows that when physician altruism is not contractible, incentive mechanisms need to be
designed such that physicians reveal their true type.
3 This literature discusses whether the actions of leaders should be observable to followers (transparent organizations) or not (opaque organizations).
orse than the L-scheme.
4 This literature discusses whether a single agent (integration) or two different agents (separation) should be in charge of the two productive stages.
5 Some analyses consider principals that can choose between which performance measures to monitor (input monitoring or output monitoring); however, this literature is concerned with agents that are not organized sequentially (McAfee and McMillian, 1991; Khalil and Lawaree, 1995; Bag and Wang, 2019).
6 The total costs, k( X, Y) + C( Y), are consistent with economics of scope (see Baumol, Panzar and Willig, 1982; Gravelle and Rees, 2004; Lipczynski, Willson and Goddard, 2017) implying that provider-merging might be socially preferable. However, here we assume that it is desirable to keep production separate in two units. An obvious reason might be that the providers are specialized in terms of technologies, inputs and skills, in which case merging might lead to a lower quality with full integration possibly creating intra-organizational coordination problems not specified in the cost functions.
7 Health care providers have typically been compensated by fixed budgets or volume (number of patients and services), in terms fee‐for‐service, capitation and diagnosis‐based payments, rather than value (health improvements). Such observations suggest that values are costly to measure.
8 Global budget contracts are often practiced in public sector service provision. A somewhat different interpretation of the global budgets case is that the sponsor sets the budgets based on realized costs ( ex-post).
9 In the following, the functional arguments are omitted whenever it creates no confusion.
10 The denominator in (8) represents the second order condition of the problem for provider L.
11 The strategic properties of the two activities depend on (i) how the client’s marginal utility from a higher service intensity (quality) provided by a provider, is affected by changes in the quality provided by the chain partner, and (ii) how the marginal production cost of the L-provider is affected by changes in the quality provided by the F-provider. The case of strategic substitutes will occur when a more continuous GP monitoring of chronic patients (in terms of blood pressure, cholesterol and alcohol consumption) better determines the adequate timing of specialized services, in this way increasing the marginal benefit from specialized services (complements in client utility) as well as decreasing the marginal cost of specialized care (substitutes in costs). The case of strategic complements occurs when more GP services reduce the marginal client utility from specialized services (substitutes in client utility) while the marginal cost of the subsequent specialist
treatment plan is either increased or unaffected by the supply of GP services (so that the qualities are complements or independent in costs).
12 VYY = β[ UYY + (2 UXY + UXX) XY + UX XYY] – CYY ˂ 0 is the second order condition for problem (10).
13 It follows that the effect on provider L quality from a higher degree of provider F altruism is given by dXldβ = xyYβ.
14 This reasoning does not consider that the qualities are functions of the altruistic parameters.
15 The total financial outlays of the sponsor now become T = tL + tF = AL + pX + AF.
16 The partial effects on X from Y and α are not presented here, being equal to the ones arrived at for the global budgets case (see 8 and 9).
17 Z = β( Uyy + UxXyy + 2 UxyXy + UxxX2y) - Cyy < 0 in (18ab) is the second order condition for the maximization problem.
18 The partial effects on Y from α and β are not presented here since they are equal to those arrived at for the global budgets case (see 12ab).
19 It follows that  , thus a sufficient condition for XYp = 0 is that all third derivatives are zero.
20 In the following, whenever it creates no confusion, we do not present the response function with α and β as arguments.
21 Given qualities that are overall independent, i.e., XY = 0, implying
22 The second order condition for this maximization problem is fulfilled from prior assumptions: αUXX – kXX ˂ 0.
23 The partial effects from Y and α are not presented since coinciding with the global budgets case (see 8 and 9).
24 Z = β( Uyy + UxXyy + 2 UxyXy + UxxX2y) - Cyy < 0 is the second order condition for the maximization problem.
25 The partial effects from β and α are not presented below since they are equal to the global budgets case (see 12ab).
26 This is seen by inserting the equations in (30) and (31) in (15) and (24) respectively, giving us the conditions for the first-best qualities in (5) and (6).
27 Mur-Veeman, van Raak and Paulus ( 2008), Tsiachristas et al. ( 2013), and Stokes et al. ( 2018) describe reimbursements’ systems implemented to support integrated care. Cameron et al. ( 2014) review evidence related to joint working in the field of health and social care services, while Mason et al. ( 2015) review 38 reimbursement schemes from eight countries to understand the role that integrated funding can play in promoting coordinated care.
28 According to Eijkenaar et al. ( 2013), reviewing 12 P4P schemes in 9 different countries, the average number of quality indicators is about 30.
29 Wang et al. ( 2020) specify a Cobb-Douglas utility function with constant returns to scale of the following type: U( B, π) = Bαπ1–α where α is a measure of the relative weight of the patient benefit in the utility function. The estimates of the relative weight of the patient benefit are 0.51 (Chinese medical students), 0.42 (Chinese doctors) and 0.40 (German medical students).
30 Godager and Wiesen ( 2013) specify utility as U( B, π) = αB + γπ where B is patients’ benefits and π own profits where α and γ are positive constants indicating the valuation of patient benefits and own profit, respectively. Their estimations show a median relative degree of altruism, α/ γ, equal to 1.53 (mixed logit regressions) and 2.1 (multi-nominal logit regressions). The relative degree of altruism (the marginal rate of substitution) expresses how many units of profit the physician is willing to give up increasing the patients’ health benefits by one unit.
31 As commented on above, the targeting of provider F, when information about Y is available, means that the strategic effect is eliminated, the cost-externality is internalized, and imperfect agency is corrected for. However, the choice of X by the late mover might be based on a very low degree of altruism which again produces a welfare outcome for the F-scheme that is worse than the L-scheme.
Disclosure statement
The authors have no conflicts of interest to declare.
References
Allard, M., Jelovac, I. and Leger, P., 2011. Treatment and referral decisions under different physician payment mechanisms. Journal of Health Economics, 30(5), pp. 880-893 [ CrossRef]
Bag, P. K. and Wang, P., 2019. Input, output or mixed monitoring in teams? Journal of Economic Behavior and Organization, 166, pp. 471-492 [ CrossRef]
Baliga, S. and Sjostrom, T., 1998. Decentralization and collusion. Journal of Economic Theory, 82(2), pp. 196-232 [ CrossRef]
Baumol, W. J., Panzar, J. C. and Willig, R. D., 1982. Contestable Markets and the Theory of Industry Structure. New York: Harcourt Brace Jovanovich.
Benabou, R. and Tirole, J., 2003. Intrinsic and extrinsic motivation. Review of Economic Studies, 70(3), pp. 489-520 [ CrossRef]
Benabou, R. and Tirole, J., 2006. Incentives and pro-social behavior. American Economic Review, 96(5), pp. 1652-1678 [ CrossRef]
Brekke, K. R., Siciliani, L. and Straume, O. R., 2011. Hospital competition and quality with regulated prices. Scandinavian Journal of Economics, 113(23), pp. 444-469 [ CrossRef]
Brekke, K. R., Siciliani, L. and Straume, O. R., 2017. Hospital mergers with regulated prices. Scandinavian Journal of Economics, 119(3), pp. 597-627 [ CrossRef]
Brosig-Koch, J. [et al.], 2016. Using artefactual field and lab experiments to investigate how fee-for-service and capitation affect medical service provision. Journal of Economic Behaviour and Organization, 131, pp. 17-23 [ CrossRef]
Brosig-Koch, J. [et al.], 2017. The effects of introducing mixed payment systems for physicians: experimental evidence. Health Economics, 26(2), pp. 243-262 [ CrossRef]
Bulow, J. I., Geanakopolos, J. D. and Klemperer, P. D., 1985. Multimarket oligopoly: Strategic substitutes and complements. Journal of Political Economy, 95 (3), pp. 488-511 [ CrossRef]
Cameron, A. [et al.], 2014. Factors that promote and hinder joint and integrated working between health and social care services: a review of research literature. Health and Social Care in the Community, 22(3), pp. 225-233 [ CrossRef]
Cashin, C. [et al.], 2014. Health provider P4P and strategic health purchasing. In C. Cashin [et al.], eds. Paying for Performance in Health Care: Implications for health system performance and accountability, pp. 3-22.
Cato, S. and Ishiman, A., 2017. Transparency and performance evaluation in sequential agency. The Journal of Law, Economics, and Organization, 33(3), pp. 475-506 [ CrossRef]
Chalkley, M. and Malcomson, J. M., 1998. Contracting for health services when patient demand does not reflect quality. Journal of Health Economics, 17(1), pp. 1-19 [ CrossRef]
Che, X., Yangguang, H. and Zhang, L., 2021. Supervisory efficiency and collusion in a multiple-agent hierarchy. Games and Economic Behavior, 130, pp. 425-442 [ CrossRef]
Delfgaauw, J. and Dur, R., 2008. Incentives and workers motivation in the public sector. The Economic Journal, 118 (January), pp. 171-191 [ CrossRef]
Deraas, T. S. [et al.], 2011. Does long-term care use within primary health care reduce hospital use among older people in Norway? A national five-year population-based observational study. BMC Health Services Research, 11(1), 287 [ CrossRef]
Dewatripont, M., Jewitt, I. and Tirole, J., 2000. Multitask agency problems: Focus and task clustering. European Economic Review, 44(4-6), pp. 869-877 [ CrossRef]
Duarte, A. [et al.], 2018. Impact of specialist rehabilitation services on hospital length of stay and associated costs. The European Journal of Health Economics, 19, pp. 1027-1034 [ CrossRef]
Eijkenaar, F. [et al.], 2013. Effect of pay for performance in health care: A systematic review of systematic reviews. Health Policy, 110(2-3), pp. 115-130 [ CrossRef]
Ellis, R. P. and McGuire, T. G., 1986. Provider behavior under prospective reimbursement. Journal of Health Economics, 5(2), pp. 129-151 [ CrossRef]
Ellis, R. P. and McGuire, T. G., 1990. Optimal payment systems for health services. Journal of Health Economics, 9(4), pp. 375-396 [ CrossRef]
Forder, J., 2009. Long-term care and hospital utilization by older people: an analysis of substitution rates. Health Economics, 18(11), pp. 1322-1338 [ CrossRef]
Fortney, J. C. [et al.], 2005. Are primary care services a substitute or complement for specialty and inpatient services? HSR: Health Services Research, 40(5), pp. 1422-1442 [ CrossRef]
Francois, P. and Vlassopoulos, M., 2008. Pro-social motivation and delivery of social services. CESifo Economic Studies, 54(1), pp. 22-54 [ CrossRef]
Francois, P., 2000. Public service motivation as an argument for government provision. Journal of Public Economics, 78(3), pp. 275-299 [ CrossRef]
Gittel, J. H. and Weiss, L., 2004. Coordination networks within and across organizations: A multi-level framework. Journal of Management Studies, 41(1), pp. 127-153 [ CrossRef]
Glazer, A., 2004. Motivating devoted workers. International Journal of Industrial Organization, 22(3), pp. 427-240 [ CrossRef]
Godager, G. and Weisen, D., 2013. Profit or patients’ health benefit? Exploring heterogeneity in physician altruism. Journal of Health Economics, 32(6), pp. 1105-1116 [ CrossRef]
Gravelle, H. and Rees, R., 2004. Microeconomics. London: Prentice Hall.
Hennig-Schmidt, H. and Wiesen, D., 2014. Other-regarding behavior and motivation in health care provision: An experiment with medical and non-medical students. Social Science and Medicine, 108, pp. 156-165 [ CrossRef]
Hennig-Scmidt, H., Selten, R. and Wiesen, D., 2011. How payment systems affect physicians’ provision behavior – an experimental investigation. Journal of Health Economics, 30(4), pp. 637-646 [ CrossRef]
Holmstrom, B. and Milgrom, P., 1991. Multi-task principal-agent analyses: Incentive contracts, asset ownership, and job design. Journal of Law, Economics and Organization, 7(S), pp. 24-52 [ CrossRef]
Jack, W., 2005. Purchasing health care services from providers with unknown altruism. Journal of Health Economics, 24(1), pp. 73-93 [ CrossRef]
Kaarboe, O. and Siciliani, L., 2011. Multi-tasking and pay for performance. Health Economics, 20, pp. 225-238 [ CrossRef]
Kesternich, I., Scumacher, H. and Winter, J., 2015. Professional norms and physician behavior: Homo oeconomicus or Homo hippocraticus. Journal of Public Economics, 131, pp. 1-11 [ CrossRef]
Khalil, F. and Lawarree, J., 1995. Input versus output monitoring: who is the residual claimant? Journal of Economic Theory, 66(1), pp. 139-157 [ CrossRef]
Lau, Y. [et al.], 2021. Complements or substitutes? Associations between volumes of care provided in the community and hospitals. The European Journal of Health Economics, 22, pp. 1167-1181 [ CrossRef]
Li, J., 2018. Plastic surgery or primary care? Altruistic preferences and expected specialty choice of U.S. medical students. Journal of Health Economics, 62, pp. 45-59 [ CrossRef]
Lipczynski, J., Wilson, J. O. S. C. and Goddard, J., 2017. Industrial organization: Competition, strategy and policy. Harlow: Pearson.
Macho-Stadler, I. and Perez-Castrillo, J. D., 1993. Moral hazard with several agents. The gains from cooperation. International Journal of Industrial Organization, 11, pp. 73-100 [ CrossRef]
Mason, A. [et al.], 2015. Integrating funds for health and social care: an evidence review. Journal of Health Services Research and Policy, 20(3), pp. 177-188 [ CrossRef]
Maynard, A., 2012. The powers and pitfalls of payment for performance. Health Economics, 21(1), pp. 3-12 [ CrossRef]
McAfee, R. P. and McMillian, J., 1991. Optimal contracts for teams. International Economic Review, 32, pp. 561-577 [ CrossRef]
McGuire, F. [et al.], 2019. Financing intersectoral action for health: a systematic review of co-financing models. Globalization and Health, 15, 86 [ CrossRef]
Mur-Veeman, I., van Raak, A. and Paulus, A., 2008. Comparing integrated care policy in Europe: Does policy matter? Health Policy, 85(2), pp. 172-183 [ CrossRef]
Nafziger, J. and Schumacher, H., 2013. Information management and incentives. Journal of Economics and Management Strategy, 22(1), pp. 140-163 [ CrossRef]
OECD, 2016. Better ways to pay for health care. Paris: OECD [ CrossRef]
Stokes, J. [et al.], 2018. Towards incentivising integration: A typology of payments for integrated care. Health Policy, 122, pp. 963-969 [ CrossRef]
Strausz, R., 1999. Efficiency in sequential partnerships. Journal of Economic Theory, 85(1), pp. 140-156 [ CrossRef]
Tamada, Y. and Tai, T., 2007. Optimal organization in a sequential investment problem with the principal’s cancellation option. International Journal of Industrial Organization, 25(3), pp. 631-641 [ CrossRef]
Tsiachristas, A. [et al.], 2013. Exploring payment schemes used to promote integrated chronic care in Europe. Health Policy, 133, pp. 296-304 [ CrossRef]
Turner-Stokes, L. [et al.], 2016. Cost-efficiency of specialty inpatient rehabilitation for working-aged adults with complex neurological disabilities: a multicenter cohort analysis of a national clinical data set. BMJ Open, 6(2), pe12112 [ CrossRef]
Wang, J. [et al.], 2020. Are patient-regrading preferences stable? Evidence from a laboratory experiment with physicians and medical students from different countries. European Economic Review, 125 (June) [ CrossRef]
Winter, E., 2006. Optimal incentives for sequential production processes. RAND Journal of Economics, 37(2), pp. 376-390 [ CrossRef]
Winter, E., 2010. Transparency and incentives among peers. RAND Journal of Economics, 41(3), pp. 504-523 [ CrossRef]
Y-Ling, C. and Sutton, M., 2014. Evaluating P4P Programmes. In: C. Cashin [et al.], eds. Paying for Performance in Health Care: Implications for health system performance and accountability, pp. 63-82.
Allard, M., Jelovac, I. and Leger, P., 2011. Treatment and referral decisions under different physician payment mechanisms. Journal of Health Economics, 30(5), pp. 880-893 [ CrossRef]
Bag, P. K. and Wang, P., 2019. Input, output or mixed monitoring in teams? Journal of Economic Behavior and Organization, 166, pp. 471-492 [ CrossRef]
Baliga, S. and Sjostrom, T., 1998. Decentralization and collusion. Journal of Economic Theory, 82(2), pp. 196-232 [ CrossRef]
Baumol, W. J., Panzar, J. C. and Willig, R. D., 1982. Contestable Markets and the Theory of Industry Structure. New York: Harcourt Brace Jovanovich.
Benabou, R. and Tirole, J., 2003. Intrinsic and extrinsic motivation. Review of Economic Studies, 70(3), pp. 489-520 [ CrossRef]
Benabou, R. and Tirole, J., 2006. Incentives and pro-social behavior. American Economic Review, 96(5), pp. 1652-1678 [ CrossRef]
Brekke, K. R., Siciliani, L. and Straume, O. R., 2011. Hospital competition and quality with regulated prices. Scandinavian Journal of Economics, 113(23), pp. 444-469 [ CrossRef]
Brekke, K. R., Siciliani, L. and Straume, O. R., 2017. Hospital mergers with regulated prices. Scandinavian Journal of Economics, 119(3), pp. 597-627 [ CrossRef]
Brosig-Koch, J. [et al.], 2016. Using artefactual field and lab experiments to investigate how fee-for-service and capitation affect medical service provision. Journal of Economic Behaviour and Organization, 131, pp. 17-23 [ CrossRef]
Brosig-Koch, J. [et al.], 2017. The effects of introducing mixed payment systems for physicians: experimental evidence. Health Economics, 26(2), pp. 243-262 [ CrossRef]
Bulow, J. I., Geanakopolos, J. D. and Klemperer, P. D., 1985. Multimarket oligopoly: Strategic substitutes and complements. Journal of Political Economy, 95 (3), pp. 488-511 [ CrossRef]
Cameron, A. [et al.], 2014. Factors that promote and hinder joint and integrated working between health and social care services: a review of research literature. Health and Social Care in the Community, 22(3), pp. 225-233 [ CrossRef]
Cashin, C. [et al.], 2014. Health provider P4P and strategic health purchasing. In C. Cashin [et al.], eds. Paying for Performance in Health Care: Implications for health system performance and accountability, pp. 3-22.
Cato, S. and Ishiman, A., 2017. Transparency and performance evaluation in sequential agency. The Journal of Law, Economics, and Organization, 33(3), pp. 475-506 [ CrossRef]
Chalkley, M. and Malcomson, J. M., 1998. Contracting for health services when patient demand does not reflect quality. Journal of Health Economics, 17(1), pp. 1-19 [ CrossRef]
Che, X., Yangguang, H. and Zhang, L., 2021. Supervisory efficiency and collusion in a multiple-agent hierarchy. Games and Economic Behavior, 130, pp. 425-442 [ CrossRef]
Delfgaauw, J. and Dur, R., 2008. Incentives and workers motivation in the public sector. The Economic Journal, 118 (January), pp. 171-191 [ CrossRef]
Deraas, T. S. [et al.], 2011. Does long-term care use within primary health care reduce hospital use among older people in Norway? A national five-year population-based observational study. BMC Health Services Research, 11(1), 287 [ CrossRef]
Dewatripont, M., Jewitt, I. and Tirole, J., 2000. Multitask agency problems: Focus and task clustering. European Economic Review, 44(4-6), pp. 869-877 [ CrossRef]
Duarte, A. [et al.], 2018. Impact of specialist rehabilitation services on hospital length of stay and associated costs. The European Journal of Health Economics, 19, pp. 1027-1034 [ CrossRef]
Eijkenaar, F. [et al.], 2013. Effect of pay for performance in health care: A systematic review of systematic reviews. Health Policy, 110(2-3), pp. 115-130 [ CrossRef]
Ellis, R. P. and McGuire, T. G., 1986. Provider behavior under prospective reimbursement. Journal of Health Economics, 5(2), pp. 129-151 [ CrossRef]
Ellis, R. P. and McGuire, T. G., 1990. Optimal payment systems for health services. Journal of Health Economics, 9(4), pp. 375-396 [ CrossRef]
Forder, J., 2009. Long-term care and hospital utilization by older people: an analysis of substitution rates. Health Economics, 18(11), pp. 1322-1338 [ CrossRef]
Fortney, J. C. [et al.], 2005. Are primary care services a substitute or complement for specialty and inpatient services? HSR: Health Services Research, 40(5), pp. 1422-1442 [ CrossRef]
Francois, P. and Vlassopoulos, M., 2008. Pro-social motivation and delivery of social services. CESifo Economic Studies, 54(1), pp. 22-54 [ CrossRef]
Francois, P., 2000. Public service motivation as an argument for government provision. Journal of Public Economics, 78(3), pp. 275-299 [ CrossRef]
Gittel, J. H. and Weiss, L., 2004. Coordination networks within and across organizations: A multi-level framework. Journal of Management Studies, 41(1), pp. 127-153 [ CrossRef]
Glazer, A., 2004. Motivating devoted workers. International Journal of Industrial Organization, 22(3), pp. 427-240 [ CrossRef]
Godager, G. and Weisen, D., 2013. Profit or patients’ health benefit? Exploring heterogeneity in physician altruism. Journal of Health Economics, 32(6), pp. 1105-1116 [ CrossRef]
Gravelle, H. and Rees, R., 2004. Microeconomics. London: Prentice Hall.
Hennig-Schmidt, H. and Wiesen, D., 2014. Other-regarding behavior and motivation in health care provision: An experiment with medical and non-medical students. Social Science and Medicine, 108, pp. 156-165 [ CrossRef]
Hennig-Scmidt, H., Selten, R. and Wiesen, D., 2011. How payment systems affect physicians’ provision behavior – an experimental investigation. Journal of Health Economics, 30(4), pp. 637-646 [ CrossRef]
Holmstrom, B. and Milgrom, P., 1991. Multi-task principal-agent analyses: Incentive contracts, asset ownership, and job design. Journal of Law, Economics and Organization, 7(S), pp. 24-52 [ CrossRef]
Jack, W., 2005. Purchasing health care services from providers with unknown altruism. Journal of Health Economics, 24(1), pp. 73-93 [ CrossRef]
Kaarboe, O. and Siciliani, L., 2011. Multi-tasking and pay for performance. Health Economics, 20, pp. 225-238 [ CrossRef]
Kesternich, I., Scumacher, H. and Winter, J., 2015. Professional norms and physician behavior: Homo oeconomicus or Homo hippocraticus. Journal of Public Economics, 131, pp. 1-11 [ CrossRef]
Khalil, F. and Lawarree, J., 1995. Input versus output monitoring: who is the residual claimant? Journal of Economic Theory, 66(1), pp. 139-157 [ CrossRef]
Lau, Y. [et al.], 2021. Complements or substitutes? Associations between volumes of care provided in the community and hospitals. The European Journal of Health Economics, 22, pp. 1167-1181 [ CrossRef]
Li, J., 2018. Plastic surgery or primary care? Altruistic preferences and expected specialty choice of U.S. medical students. Journal of Health Economics, 62, pp. 45-59 [ CrossRef]
Lipczynski, J., Wilson, J. O. S. C. and Goddard, J., 2017. Industrial organization: Competition, strategy and policy. Harlow: Pearson.
Macho-Stadler, I. and Perez-Castrillo, J. D., 1993. Moral hazard with several agents. The gains from cooperation. International Journal of Industrial Organization, 11, pp. 73-100 [ CrossRef]
Mason, A. [et al.], 2015. Integrating funds for health and social care: an evidence review. Journal of Health Services Research and Policy, 20(3), pp. 177-188 [ CrossRef]
Maynard, A., 2012. The powers and pitfalls of payment for performance. Health Economics, 21(1), pp. 3-12 [ CrossRef]
McAfee, R. P. and McMillian, J., 1991. Optimal contracts for teams. International Economic Review, 32, pp. 561-577 [ CrossRef]
McGuire, F. [et al.], 2019. Financing intersectoral action for health: a systematic review of co-financing models. Globalization and Health, 15, 86 [ CrossRef]
Mur-Veeman, I., van Raak, A. and Paulus, A., 2008. Comparing integrated care policy in Europe: Does policy matter? Health Policy, 85(2), pp. 172-183 [ CrossRef]
Nafziger, J. and Schumacher, H., 2013. Information management and incentives. Journal of Economics and Management Strategy, 22(1), pp. 140-163 [ CrossRef]
OECD, 2016. Better ways to pay for health care. Paris: OECD [ CrossRef]
Stokes, J. [et al.], 2018. Towards incentivising integration: A typology of payments for integrated care. Health Policy, 122, pp. 963-969 [ CrossRef]
Strausz, R., 1999. Efficiency in sequential partnerships. Journal of Economic Theory, 85(1), pp. 140-156 [ CrossRef]
Tamada, Y. and Tai, T., 2007. Optimal organization in a sequential investment problem with the principal’s cancellation option. International Journal of Industrial Organization, 25(3), pp. 631-641 [ CrossRef]
Tsiachristas, A. [et al.], 2013. Exploring payment schemes used to promote integrated chronic care in Europe. Health Policy, 133, pp. 296-304 [ CrossRef]
Turner-Stokes, L. [et al.], 2016. Cost-efficiency of specialty inpatient rehabilitation for working-aged adults with complex neurological disabilities: a multicenter cohort analysis of a national clinical data set. BMJ Open, 6(2), pe12112 [ CrossRef]
Wang, J. [et al.], 2020. Are patient-regrading preferences stable? Evidence from a laboratory experiment with physicians and medical students from different countries. European Economic Review, 125 (June) [ CrossRef]
Winter, E., 2006. Optimal incentives for sequential production processes. RAND Journal of Economics, 37(2), pp. 376-390 [ CrossRef]
Winter, E., 2010. Transparency and incentives among peers. RAND Journal of Economics, 41(3), pp. 504-523 [ CrossRef]
Y-Ling, C. and Sutton, M., 2014. Evaluating P4P Programmes. In: C. Cashin [et al.], eds. Paying for Performance in Health Care: Implications for health system performance and accountability, pp. 63-82.
|